所屬科目:高中(學測,指考)◆數學
1. 坐標平面上兩直線之斜率分別為 及 ,則下列何者為其一交角? (A)30° (B)36° (C)45° (D)60° (E)90°
2. 設P ,Q 為平面ax+by+cz=5上相異兩點,且 ,則 為 (A) 不定值,隨(x0,y0,z0)而改變 (B)25 (C)5 (D)0 (E)-1
3. 設f(x) 為二次函數,且不等式f(x)>0 之解為-2<x<4 ,則f(2x)<0 之解為 (A)-1<x<2 (B)x<-1 或x >2 (C)x<-2 或x >4(D)-4<x<8 (E)x<-4 或x >8
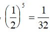
4. 有一個無窮等比級數,其和為 ,第四項為 。已知公比為一有理數,則當公比以最簡分數表示時,其分母為 (A)2 (B)3 (C)4 (D)6 (E)8
5. 有一邊長為 的正六邊形紙板,今在每一個角各剪掉一個小三角形,使其成為正十二邊形之紙板,則此正十二邊形之一邊長為 (A)1 (B) (C) (D) (E)
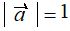
6. 有一正立方體,其邊長都是1 。如果向量 的起點與終點都是此正立方體的頂點,且 ,則共有多少個不相等的向量? (A)3 (B)6 (C)12 (D)24 (E)28
8. 有一種丟銅板的遊戲,其規則為:出現正面則繼續丟,出現反面就出局。那麼連續丟5 次後還可繼續丟的機率為 。某班有40名學生,每人各玩一局,設班上至少有一人連續丟5次後還可繼續丟的機率為p ,則 (A)0.4 ≤ p <0.5 (B)0.5 ≤ p <0.6 (C)0.6 ≤ p <0.7 (D)0.7 ≤ p <0.8 (E)0.8 ≤ p <0.9
貳、多重選擇題.9. 設 。若f(x) 在x=a 處有最小值,則 (A) a為整數 (B)a<5.9 (C)a>5.1 (D)│a-4│<0.5 (E)│a-6│<0.5
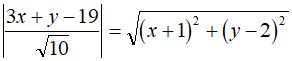
10. 關於方程式 所代表的錐線圖形 ,下列何者為真? (A) 為拋物線 (B)(1,-2)為 的焦點 (C)3x+y-19=0為 的漸近線 (D)x-3y+7=0為 的對稱軸 (E)(3,1) 為 的頂點
11. 下列各選項中的曲線 ,何者是一個橢圓? (A) (B) (C) (D) (E)
12. 下圖中,有五組數據,每組各有A ,B ,C ,D ,E ,F 等六個資料點。 設各組的相關係數由左至右分別為r1,r2 ,r3 ,r4 ,r5,則下列關係式何者為真?
(A)r1=r2(B)r2<r3(C)r3>r4(D)r3<r5 (E)r4=r5
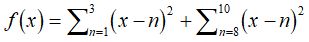
第二部分:填充題13. 設f(x)=x5+6x4-4x3+25x2+30x+20 ,則f(-7)= 。
14. 設θ為兩平面2x-y+2z=6與3x-4z=2的夾角(取銳角),則θ 最接近的整數度數為 度。
15. 在四邊形ABCD中,∠A=120°, ,,且 ,則 的長度為 。
17. 已知圓內接四邊形的各邊長為。則對角線 的長度為 。
18. 將3100以科學記號表示:3100=a✕10m ,其中1≤a<10 , 為整數,則a的整數部分為 。
19. 某人上班有甲、乙兩條路線可供選擇。早上定時從家裡出發,走甲路線有 的機率會遲到,走乙路線則有 的機率會遲到。無論走哪一條路線,只要不遲到,下次就走同一條路線,否則就換另一條路線。假設他第一天走甲路線,則第三天也走甲路線的機率為 。