所屬科目:四技二專統測◆數學C
6.被x+1除之餘式為1則α=? (A) -1 (B) 0 (C) 1 (D) 2
7.f(x)為非零之多項式,且f(0)=f(1)=f(2)=f(3)=0,f(x)可能幾次多項式? (A)一次 (B)二次 (C)三次 (D)四次
8.a,b為x2+2x-6=0之二根,則之值為何?(A)1 (B)(C)(D)
10.若a是之解,則之值為何? (A) 2(B) (C) 4(D)
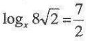
12.,則x=? (A) (B) 2 (C) 7(D) 8
20.展開時,x7之數為何? (A) 64 (B) 128(C) 256 (D) 960
21.展開時的常數項為何? (A) 27(B) 70 (C) 72(D) 81