阿摩線上測驗
登入
首頁
>
國中會考基測◆數學科
> 90年 - 90-1 國中基測:數學科#24693
90年 - 90-1 國中基測:數學科#24693
科目:
國中會考基測◆數學科 |
年份:
90年 |
選擇題數:
32 |
申論題數:
0
試卷資訊
所屬科目:
國中會考基測◆數學科
選擇題 (32)
1. 計算
之後,可得下列哪一個結果? (A)
(B)
(C)
(D)
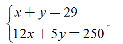
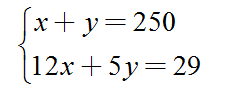
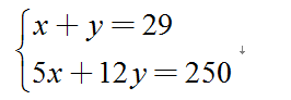
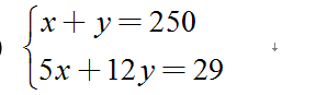
2. 守守到郵局,買了5元與12元的兩種郵票共29張,花了250元;若5元郵票買x張,12元郵票買y張,下列哪一個聯立方程式是正確的? (A)
(B)
(C)
(D)
3. 若
與
四捨五入後,取近似值到小數第一位分別為7.5與8.3,則x應為下列哪一個正整數?乘方開方表
(A) 55 (B) 56 (C) 57 (D) 58
4. 某商店促銷活動,買3包餅乾和2個麵包,僅需105元。若小芬至此商店購買6包餅乾和4個麵包,付500元鈔票一張,應可找回多少元? (A) 290 (B) 395 (C) 105 (D) 210
5. 如圖(一),△ABC中,D、E、F三點將
四等分,
:
=1:3,H為
之中點。下列哪一個點為△ABC的重心? (A) X (B) Y (C) Z (D) W
6. 某次籃球比賽,創創投10球進7球,守守投20球進14球,下列哪一個敘述是錯誤的? (A)創創命中數與投籃數的比為7:10 (B)守守命中數與投籃數的比值為
(C)因為7:10=7×2:10×2=14:20,故兩人命中率相同 (D)因為創創只投進7球,而守守投進14 球,所以守守的命中率較高。
7. 如圖(二),四邊形ABCD為矩形,已知A點坐標為(-2,3),B點坐標為(-2,-3),D點坐標為(4,3),則下列四個選項中,何者為直線BC的方程式? (A) y-3=0 (B) y+3=0 (C) x-1=0 (D) x-4=0
8. 若平面上圓O1及圓O2的半徑各為2公分與4公分,且
=7公分,則下列哪一個圖可以表示圓O1與圓O2的位置關係? (A)
(B)
(C)
(D)
9. 若「⊕」是一個對於1與0的新運算符號,且其運算規則如下: 1⊕1=0,1⊕0=1,0⊕1=1,0⊕0=0 則下列四個運算結果哪一個是正確的? (A)(1⊕1)⊕0=1 (B)(1⊕0)⊕1=0 (C)(0⊕1)⊕1=1 (D)(1⊕1)⊕1=0
10. 下列何者可為方程式91x
2
-53x+6=0的解? (A)
(B)
(C)
(D)
11. a是一個正整數,其所有正因數有:1、2、4、7、14、28。則a與210的最大公因數為何? (A) 4 (B) 7 (C) 14 (D) 28
12. 如圖(三),直線L1平行直線L2,若∠1=80∘,∠2=60∘,且 平分∠DBC,則∠3=? (A) 10∘ (B) 15∘ (C) 20∘ (D) 25∘
13. 將兩個二次函數y=2x2+1與y=2x2-1畫在同一坐標平面上,下列有關這兩個函數圖形關係的敘述,哪一個是錯誤的? (A)有相同的開口方向 (B)圖形都是拋物線 (C)有相同的頂點坐標 (D)有相同的對稱軸。
14. 將一塊邊長為a的正方形,與四塊邊長為b的正方形(其中b>a),拼成如圖(四),其中
形成一個四邊形,則四邊形ABCD的面積為多少?
(A) b2+(b-a)2 (B) b2+a2 (C)(b+a)2 (D) a2+2ab
15. 已知每塊餅乾的重量都相同,每顆糖果的重量都相同。守守拿了一個等臂天平,測量餅乾與糖果的重量,得到結果如下: 第一次: 左邊秤盤放二塊餅乾,右邊秤盤放三顆糖果;結果天平兩臂平衡,如圖(五)。
第二次: 左邊秤盤放10公克砝碼,右邊秤盤放一塊餅乾和一顆糖果;結果天平兩臂平衡,如圖(六)。
第三次: 左邊秤盤放一顆糖果,右邊秤盤放一塊餅乾。 下列哪一個方法可使天平兩臂再度平衡? (A)在糖果的秤盤上加2公克砝碼 (B)在餅乾的秤盤上加2公克砝碼 (C)在糖果的秤盤上加5公克砝碼 (D)在餅乾的秤盤上加5公克砝碼
16. 已知ab>0,下列哪一個選項可能為方程式x+ay=b的圖形? (A)
(B)
(C)
(D)
17. 如圖(七),已知直線CD為
的中垂線,且交
於D點。則下列哪一個敘述是錯誤的? (A)以C為圓心,
為半徑畫圓,則圓必過A點 (B)以A為圓心, 為
半徑畫圓,則圓必過C點 (C)以B為圓心, 為
半徑畫圓,則圓必過C點 (D)以D為圓心, 為
半徑畫圓,則圓必過B點。
18. 如圖(八),將二次函數y=x2的圖形向右移動兩個單位長,則下列哪一個二次函數的圖形,可為虛線所表示的圖形?
(A) y=x2+2 (B) y=x2-2 (C) y=(x+2)2 (D) y=(x-2)2
19. 坐標平面上,下列哪一個數對所表示的點,與x軸距離最近? (A)(1,3) (B)(5,-2) (C)(-3,5) (D)(0,-4)
20. 一群海盜在無名島上藏了三批珠寶,先在島上A地藏第一批珠寶,然後向東走x公里,再向南走5公里到B地藏第二批珠寶,再循原路回到A地後,向西走6公里,再向北走10公里到C地藏第三批珠寶,如果A、B、C三地恰好在一條直線上,則x=?(A) 3(B)6(C)
(D)12
21. 欲將n個邊長為1的小正方形,拼成一個長、寬皆大於1的矩形,且不會剩下任何小正方形,則n不可能為下列哪一個數? (A) 81 (B) 85 (C) 87 (D) 89
22. 如圖(九),有一個數學遊戲如下,由左方入口進入,按框框內的指示判斷正確的路徑,則最後到達哪一個地方? 圖(九)
(A)甲 (B)乙 (C)丙 (D)丁
23. 如圖(十),有甲、乙、丙、丁四種不相似的矩形,已知邊長均為正整數,其中有2個甲,1個乙,2個丙,1個丁。今將這6個圖形,拼成一個大的矩形,則其兩鄰邊的邊長分別為多少? (A) 2x+1,x+b (B) 2x+b,x+1 (C) x+2b,2x+1 (D) x+1,2x+2b
24.如圖(十一),已知在△ABC中,∠ACB=90∘且
求作:一圓與
相切,且圓心O在
上。下列四個取得圓心O的作圖方法,何者正確? (A)取
中點為O (B)作
中垂線交
於O (C)作
中垂線交
於O (D)作∠ACB平分線交
於O
25. 如圖(十二),已知ABCD是正方形,A在L上,
⊥L,
⊥L,垂足分別為E、F( )。
求證:△ADE △BAF。 證明:1.∵ABCD是正方形,∴
,∠7=90∘ 2.又∵
,∴∠5=∠6=90∘ 3. (甲) 4.∴△ADE
△BAF 從下列選項中,選出可填入(甲)中的正確證明過程。 (A)∵
⊥L,
⊥L,∠7=90∘∴ =
(B)∵
,∠7=90∘∴∠1=∠4 (C)∵∠7=∠90∘,∠5=∠6=90∘∴∠2=∠3 (D)∵∠7=∠5=90∘,∴∠1+∠2=∠2+∠3,∴∠1=∠3
26. 下列各圖形中哪一個四邊形與圖(十三)的四邊形相似?
(A)
(B)
(C)
(D)
27. 一等差數列a1,a2,…,a100,已知a70-a57<0,那麼下列哪一個選項是正確的? (A) a43-a69>0 (B) a42-a51<0 (C) a18+a51>a21+a48 (D) a12+a31>a9+a34
28. 如圖(十四),美美景觀設計公司設計一長方形庭園,其中長方形庭園長16公尺、寬12公尺,在其內部規劃S區(△ABC為等腰直角三角形)為觀賞休憩區,T區(長方形區域)為人行步道區,使得剩餘的花草區的面積為141平方公尺,試問T區的寬度(
)是多少公尺?
(A) 1 (B)
(C) 2 (D)
29. 圖(十五)中直線PH是△PQR的對稱軸
,M是
的中點。下列哪一個選項是錯誤的? (A)
(B)
(C)
(D) △PQH
△PRH
30. 如圖(十六),
為圓O的兩條直徑,若∠ACD=2∠AOC,且圓O的半徑為30公分,則∠BOC所對的弧長是多少公分? (A) 10π (B) 12π (C) 20π (D) 24π
31. 如圖(十七),
是圓O的直徑,
是過B點之切線,D在弧AB上。 求作:在
上取P點,使得
平分△ABC的面積。 下列有四個尺規作圖的方法,何者錯誤? (A)取
的中點P,連
(B)作∠A之角平分線交
於P點 (C)作
的中垂線交
於P點,連
(D)過O點作直線平行
於P點,連
。
32. 如圖(十八),△ABC為等腰三角形,
=13,
=10。 (1) 將
方向摺過去,使得
重合,出現摺線
,如圖(十九)。 (2) 將
方向摺過去,如圖(廿),使得
完全疊合在
上,出現摺線
,如圖(廿一),則△AEC的面積為何?
(A) 15 (B)
(C) 20 (D)
申論題 (0)
相關試卷
114年 - 114 國中教育會考:數學#127076
114年 · #127076
113年 - 113 張進通許世賢教育文教基金會_雲嘉南區國中數學能力競試試題:數學(二)#124230
113年 · #124230
113年 - 113 張進通許世賢教育文教基金會_雲嘉南區國中數學能力競試試題:數學#124229
113年 · #124229
113年 - 113 國中教育會考 :數學#119879
113年 · #119879
112年 - 112 張進通許世賢教育文教基金會_雲嘉南區國中數學能力競試試題:數學一#124231
112年 · #124231
112年 - 112 國中教育會考(大陸考場):數學#116361
112年 · #116361
112年 - 112 國中教育會考:數學#114306
112年 · #114306
111年 - 111 國中教育會考(參考試題):數學科#113403
111年 · #113403
111年 - 111 國中教育會考(補考):數學科#113398
111年 · #113398
111年 - 111 國中教育會考:數學#108009
111年 · #108009