阿摩線上測驗
登入
首頁
>
警專◆乙組數學
> 93年 - 093 臺灣警察專科學校_專科警員班第 23 期正期學生組:乙組數學#24560
93年 - 093 臺灣警察專科學校_專科警員班第 23 期正期學生組:乙組數學#24560
科目:
警專◆乙組數學 |
年份:
93年 |
選擇題數:
40 |
申論題數:
0
試卷資訊
所屬科目:
警專◆乙組數學
選擇題 (40)
1. ∪ = (A) A (B) B (C) C (D) φ A B
2. A− B = (A) A (B) B (C) C (D) φ
3. A ∩ (B ∪ C) = (A)A (B)B (C)C (D) φ
4. 公比為
5. 首項為
6. 此級數和為
7.
=(A)
(B)2 (C)
(D)4
8. log10 + log
= (A) –1 (B) 0 (C) 1 (D) 2
9. log
2
3 log
3
5 log
5
8 = (A) 2 (B) 3 (C) 5 (D) 8
10. BC = (A) 5 (B) 6 (C) 7 (D) 8
11. ∆ABC 的面積 = (A) 10√ 3 (B) 20√ 3 (C) 30 √3 (D) 40√ 3
12. ∆ABC 的外接圓半徑為
13. cosα =
14. cos β =
15. sin (α + β ) =
16. u.v⋅ =(A)5 (B) -5(C)10 (D)-10
17. 若 u 和v 的夾角為 θ ,則 cosθ =
18. 若
與
垂直, 則實數 t = (A)1 (B)–1(C)3(D)–3
19. ∆ABC 的重心在 (A) 第一象限 (B) 第二象限 (C) 第三象限 (D) 第四象限
20. BC 的中垂線方程式為 (A) x–y–3=0 (B) 7x+2y–3=0 (C) 3x–2y–7=0 (D) x+y+1=0
21. 若 D 在
, 則 D 點坐標為 (A) (0, –3) (B)(3, 0) (C) (2, –1) (D)(1, –2)
22. 行列式
之值 (A) 0 (B) 1 (C) 2 (D) 3
23. 方程組的解為 (A) 恰有一組解 (B) 恰有二組解 (C) 有無限多組解 (D) 無解
24. 空間中三平面 E
1
:x+y+z=0, E
2
:x+2y+3z=1, E
3
:2x+y+3z=2 的關係為 (A) 三平面相交於一線 (B) 三平面兩兩相交於一線,三線平行 (C) 三平面相交於一點 (D) 三平面互相平行
25. 兩人點數相同:
26. 甲的點數比乙的點數大:
27. 兩人點數和為 5 點:
28. 此組資料之中位數為 (A) 17 (B) 18 (C) 19 (D) 20
29. 此組資料之算術平均數為 (A) 17 (B) 18 (C) 19 (D) 20
30. 若將此組資料每個都乘以 2 倍再加 5,得到一組新資料,則 (A)新資料的標準差和原資料的標準差一樣 (B)新資料的標準差是原資料的標準差的 2 倍 (C)新資料的標準差比原資料的標準差多 5 (D)新資料的標準差是原資料的標準差的 2 倍再加 5
複選題
31. 設 f(x)=(x+1)
100-
1, 下列哪些是 f(x)的因式?
(A) x – 2 (B) x – 1 (C) x (D) x+1 (E) x+2
複選題
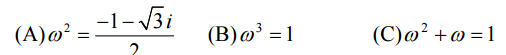
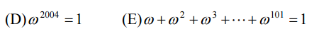
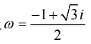
32. 設
,則
複選題
33. 空間中,點 A (–2, –2, 4),平面 E:2x+y–2z–4=0, 則 (A)平面 E 的一個法向量為 (2,1, –2) (B)過 A 點且垂直平面 E 之直線的一個方向向量為 (1,2,2) (C)點 A 到平面 E 的距離為 6 (D)點 A 在平面 E 上的投影點為 (2,0,0) (E)點 A 對平面 E 的對稱點為 (2,2, –4)
複選題
34. 下列哪些直線與圓x
2
+(y-3)
2
=5相切? (A)2x-y=0 (B) 2x − y − 2 = 0 (C) 2x − y + 4 = 0 (D) 2x − y − 6 = 0 (E) 2x − y + 8 = 0
複選題
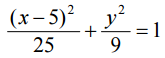
35. 橢圓
,下列敘述哪些為真?
(A)長軸長為 5 (B)(0,0) 為長軸上的一個頂點 (C)(4,0)是一個焦點 (D)正焦弦長為
(E)由長軸,短軸四個頂點所連成菱形之面積為 30
複選題
36. 甲、乙、丙、丁、戊五個人排成一列,下列各排列數哪些為真? (A)任意排列的方法數有 120 種 (B)甲排在第一位的方法數有 24 種 (C)甲不排在中間的方法數有 96 種 (D)甲、乙相鄰的方法數有 48 種 (E)甲、乙不相鄰的方法數有 36 種
複選題
37. 二次函數f(x)=x
2
-6x+8 ,則 (A) f(x)在x=3時有最小值 (B) f(x) 的最小值為 1 (C) f(x) 圖形的頂點在第四象限 (D) f(x)( 圖形的對稱軸方程式為x=-3 (E) f (x) 的圖形和 x 軸有兩個交點
複選題
38. 若 0 < θ < 2π ,下列哪些範圍可滿足不等式 2sin
2
θ- 3sin θ+1<0?
複選題
39. 平面上以 A(1,0) ,B(–1,0) ,C(0,1) 為頂點之三角形及其內部區域,是由 及下列哪二條不等式的圖解? (A)y ≥ 0x + y ≥ 0 (B) x + y −1≥ 0 (C) x + y −1≤ 0 (D) x − y +1≥ 0 (E) x − y +1≤ 0
複選題
40. 設二階方陣 ,
若 P(1,1) 與 Q(2,0) 經 A 變換後的點分別為 P’(2,2) 與 Q’(4,–2),則 (A)a=2 (B)b=-1 (C)c=0 (D)d=3(E)a+b+c+d=4
申論題 (0)
相關試卷
114年 - 114 臺灣警察專科學校_專科警員班第 44 期正期學生組新生入學考試試題:數學科(乙組)#129086
114年 · #129086
113年 - 113 臺灣警察專科學校_專科警員班第 43 期正期學生組新生入學考試:乙組數學科#124570
113年 · #124570
112年 - 112 臺灣警察專科學校_專科警員班第42期正期學生組新生入學考試:數學科(乙組)#116875
112年 · #116875
111年 - 111 臺灣警察專科學校專科警員班第 41 期正期學生組新生入學考試:數學科(乙組)#110139
111年 · #110139
111年 - 111 臺灣警察專科學校_專科警員班第 33 期正期學生組:乙組數學#18934
111年 · #18934
110年 - 110 臺灣警察專科學校_專科警員班第 40 期正期學生組:乙組數學#114969
110年 · #114969
109年 - 109 臺灣警察專科學校_專科警員班第 39 期正期學生組:乙組數學#85675
109年 · #85675
108年 - 108 臺灣警察專科學校_專科警員班第 38 期正期學生組:乙組數學#79161
108年 · #79161
107年 - 107 臺灣警察專科學校專科警員班37期正期學生組新生入學考試試題:乙組數學科#98834
107年 · #98834
106年 - 106 臺灣警察專科學校警員班36期新生入學考試:乙組數學科#98988
106年 · #98988