所屬科目:高中(學測,指考)◆數學
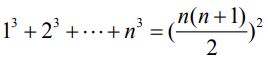
2. 利用公式,可計算出(11)3+ (12)3 +⋅⋅⋅+ (20)3之值為 (A) 41075 (B) 41095 (C) 41115 (D) 41135 (E)41155
3. 台北銀行最早發行的樂透彩(俗稱小樂透)的玩法是「42 選 6」:購買者從 01~42 中任選六個 號碼,當這六個號碼與開出的六個號碼完全相同(不計次序)時即得頭獎;台北銀行曾考慮改 發行「39 選 5」的小小樂透:購買者從 01~39 中任選五個號碼,如果這五個號碼與開出的五 個號碼完全相同(不計次序)則得頭獎。假設原來的小樂透中頭獎的機率是 R,而曾考慮發行 的小小樂透中頭獎的機率是 r。試問比值最接近下列哪個選項? (A) 3 (B) 5 (C) 7 (D) 9 (E)11
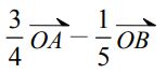
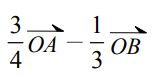
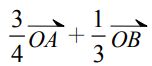
6. 如右圖所示,兩射線 OA 與 OB 交於 O 點,試問下 列選項中哪些向量的終點會落在陰影區域內?(A) (B) (C) (D) (E)
7. 如右圖所示,坐標平面上一鳶形 ABCD,其中 A,C 在 y-軸上,B,D 在 x-軸上,且=4, AC =5。令 mAB、mBC、mCD、mDA 分別表直線 AB、 BC、CD、DA 之斜率。試問以下哪些敘述成立?(A) 此四數值中以 mAB 為最大 (B) 此四數值中以mBC 為最小 (C) mBC =- mCD (D) mAB × mBC =-1 (E)mCD +mDA >0
9. 若0 < θ <,試問以下哪些選項恆成立? (A) sinθ <cosθ (B) tanθ<sinθ (C) cosθ < tanθ (D) sin 2 θ <cos2 θ (E)
10. 設 F1與 F2為坐標平面上雙曲線的兩個焦點,P 為Γ上一點,使得此三點構成一等腰三角形。試問以下哪些值可能是這些等腰三角形的週長? (A) 20 (B) 24 (C) 28 (D) 32 (E)36
11. 設 S 為空間中一球面,為其一直徑,且=10。若 P 為空間中一點,使得= 14, 則 P 點的位置可能落在哪裡? (A) 線段上; (B) 直線上,但不在線段上; (C) 球面 S 上; (D) 球 S 的內部,但不在線段 上; (E)球 S 的外部,但不在直線 上。
B. 在坐標平面上,正方形 ABCD 的四個頂點坐標分別為 A(0,1), B(0,0), C(1,0), D(1,1)。 設 P 為 正方形 ABCD 內部的一點,若 ∆PDA 與 ∆PBC 的面積比為 1:2, 且 ∆PAB 與 ∆PCD 的面積 比為 2:3, 則 P 點的坐標為。(化成最簡分數)
D. 設複數 z = 1−i ;若1+z +z2 +⋅⋅⋅+ z9=a +bi , 其中 a, b 為實數, 則 a=___⑲⑳___ , b=。
(E) 設 O 為坐標平面上的原點,P 點坐標為(2, 1);若 A、B 分別是正 x-軸及正 y-軸上的點, 使得,則 ∆OAB 面積的最大可能值為 。(化成最簡分數)
F. 如右圖所示,在 ∆ABC 中,∠BAC 的平分 線 AD 交對邊= 3,= 6,且 ,則cos∠BAD 之值為 。(化成最簡分數)
G. 在坐標平面上,過 F(1,0) 的直線交拋物線Γ:y2 =4x 於 P、Q 兩點,其中 P 在上半平面, 且知,則 P 點的 x-坐標為 。(化成最簡分數)
H. 設 x 為一正實數且滿足x ⋅3x =318 ;若 x 落在連續正整數 k 與 k+1 之間,則 k=。
I. 如右圖所示,ABCD-EFGH 為邊長等於 1 之 正立方體。若 P 點在立方體之內部且滿足 , 則P點至直線 AB 之距離為。(化成最簡分數)