所屬科目:高中(學測,指考)◆數學
2. 在下圖的棋盤方格中,隨機任意取兩個格子。選出的兩個格子不在同行(有無同列無所謂)的機率為 (A) (B) (C) (D) (E)
3. 下圖是由三個直角三角形堆疊而成的圖形,且 。 問:直角三角形OAB的高 為何? (A)1 (B) (C) (D) (E)2
4. 下列哪一個數值最接近 ? (A) (B) (C) (D) (E)
5. 在養分充足的情況下,細菌的數量會以指數函數的方式成長,假設細菌A 的數量每兩個小時可以成長為兩倍,細菌B的數量每三個小時可以成長為三倍。若養分充足且一開始兩種細菌的數量相等,則大約幾小時後細菌B 的數量除以細菌A 的數量最接近10 ? (A) 24 小時。 (B) 48 小時。 (C) 69 小時。 (D) 96 小時。 (E) 117 小時。
貳、多選題6. 假設a,b,c 是三個正整數。若 25 是a,b 的最大公因數,且3,4,14 都是b,c 的公因數,則下列何者正確? (A) c一定可以被 56 整除。 (B)b≧2100 。 (C) 若a≦100,則a=25 。 (D) a,b,c三個數的最大公因數是 25 的因數。 (E)a,b,c三個數的最小公倍數大於或等於25✕3✕4✕14 。
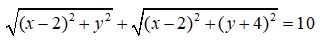
7. 考慮坐標平面上所有滿足 的點(x,y) 所成的圖形,下列敘述何者正確? (A) 此圖形為一橢圓。 (B) 此圖形為一雙曲線。 (C) 此圖形的中心在(2,-2) 。 (D) 此圖形對稱於x-2=0 。 (E) 此圖形有一頂點(2,3) 。
8. 假設實數a1,a2,a3,a4 是一個等差數列,且滿足0<a1<2 及a3=4 。若定義bn=2an ,則以下哪些選項是對的? (A)b1,b2,b3,b4 是一個等比數列 (B)b1<b2 (C)b2>4 (D)b4>32 (E)b2✕b4=256。
10. 下圖是根據 100 名婦女的體重所作出的直方圖(圖中百分比數字代表各體重區間的相對次數,其中各區間不包含左端點而包含右端點)。該 100 名婦女體重的平均數為 55 公斤,標準差為 12.5 公斤。曲線 N 代表一常態分佈,其平均數與標準差與樣本值相同。在此樣本中,若定義「體重過重」的標準為體重超過樣本平均數 2 個標準差以上(即體重超過 80 公斤以上),則下列敘述哪些正確? (A) 曲線N(常態分佈)中,在55公斤以上所佔的比例約為50%。 (B) 曲線N(常態分佈)中,在80公斤以上所佔的比例約為2.5%。 (C) 該樣本中,體重的中位數大於55公斤。 (D) 該樣本中,體重的第一四分位數大於45公斤。 (E) 該樣本中,「體重過重」(體重超過 80 公斤以上)的比例大於或等於 5%。
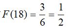
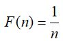
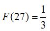
11. 將正整數18 分解成兩個正整數的乘積有1✕18,2✕9,3✕6三種,又3✕6 是這三種分解中,兩數的差最小的,我們稱3✕6 為18 的最佳分解。當p✕q(p≦q) 是正整數n 的最佳分解時,我們規定函數 ,例如 。下列有關函數F(n) 的敘述,何者正確? (A)F(4)=1(B) (C) (D) 若n 是一個質數,則 (E) 若n 是一個完全平方數,則
第二部分:選填題12.抽樣調查某地區1000個有兩個小孩的家庭,得到如下數據,其中(男,女)代表第一個小孩是男孩而第二個小孩是女生的家庭,餘類推。 由此數據可估計該地區有兩個小孩家庭的男、女孩性別比約為 :100(四捨五入至整數位)。
13. 下圖為一正立方體,若M在線段 上, ,N為線段 之中點,則cos∠MON= 。(分數要化成最簡分數)
15. 如圖所示, ABCD為圓內接四邊形: 若∠DBC=30o ,∠ABD=45o,則線段=
16. 新新鞋店為與同業進行促銷戰,推出「第二雙不用錢---買一送一」的活動。該鞋店共有八款鞋可供選擇,其價格如下:規定所送的鞋之價格一定少於所買的價格(例如:買一個「丁」款鞋,可送甲、乙兩款鞋 之一)。若有一位新新鞋店的顧客買一送一,則該顧客所帶走的兩雙鞋,其搭配方法一共有 種
18. 用黑、白兩種顏色的正方形地磚依照如下的規律拼成若干圖形: 拼第95個圖需用到 塊白色地磚。
19. 在三角形ABC 中,若D點在 邊上,且 ,則 =