所屬科目:高中(學測,指考)◆數學
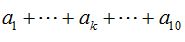
1. 數列 共有十項,且其和為240,則 之值為(A)30(B)120 (C) 130 (D) 185 (E) 218
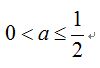
2. 令 ,試問下列哪一個選項是對的? (A)a=-1 (B)(C) (D)(E)
5. 假設甲、乙、丙三鎮兩兩之間的距離皆為20公里。兩條筆直的公路交於丁鎮,其中之一通過甲、乙兩鎮而另一通過丙鎮。今在一比例精準的地圖上量得兩公路的夾角為45° ,則丙、丁兩鎮間的距離約為 (A) 24.5公里 (B) 25公里 (C) 25.5公里 (D) 26公里 (E) 26.5公里
7. 試問下列哪些選項中的數是有理數? (A)3.1416 (B) (C) (D) (E) 方程式 的唯一實根
8. 坐標平面上四條直線 與x 軸、 y軸及直線 y+x的相關位置如圖所示,其中 L1 與L3 垂直,而L3 與L4 平行。設 的方程式分別為 , 以及 。試問下列哪些選項是正確的? (A) (B)m1●m4=-1 (C) m1<-1(D) (E) c>0
10. 設 為實數,下列有關線性方程組 的敘述哪些是正確的? (A) 若此線性方程組有解,則必定恰有一組解 (B) 若此線性方程組有解,則 (C) 若此線性方程組有解,則c=14 (D) 若此線性方程組無解,則11a-3b=7 (E) 若此線性方程組無解,則c≠14
11. 如圖所示,正立方體 的稜長等於2 (即 =2),K 為正方形ABCD 的中心,M 、N 分別為線段BF 、EF 的中點。試問下列哪些選項是正確的? (A) (B) (內積) (C)=3 (D) 為一直角三角形 (E) 之面積為
B. 坐標平面上有四點O(0,0) ,A(-3,-5) ,B(6,0) ,C(x,y) 。今有一質點在O 點沿方向前進 距離後停在 ,再沿方向前進 距離後停在Q 。假設此質點繼續沿方向前進 距離後回到原點 O,則(x
,y) =。
(E) 假設Γ1 為坐標平面上一開口向上的拋物線,其對稱軸為 且焦距(焦點到頂點的距離)為 。若Γ1 與另一拋物線 恰交於一點,則Γ1 的頂點之 y坐標為 。(化成最簡分數)
F. 某公司為了響應節能減碳政策,決定在五年後將公司該年二氧化碳排放量降為目前排放量的 75%。公司希望每年依固定的比率(當年和前一年排放量的比)逐年減少二氧化碳的排放量。若要達到這項目標,則該公司每年至少要比前一年減少 . % 的二氧化碳的排放量。(計算到小數點後第一位,以下四捨五入。)
G. 坐標空間中xy 平面上有一正方形,其頂點為 。另一點P 在xy 平面的上方,且與O, A, B, C四點的距離皆等於6。若 為通過A ,B ,P 三點的平面,則(b,c,d) =( )。
H. 有一橢圓與一雙曲線有共同的焦點 F1、F2 ,且雙曲線的貫軸長和橢圓的短軸長相等。設 P為此橢圓與雙曲線的一個交點,且=64 ,則 。
I. 在 △ABC中,=10 ,=9 , 。設點P、Q分別在邊 AB、 AC上使得 △APQ之面積為△ABC 面積之一半,則 之最小可能值為 。(化成最簡分數)