1 有甲、乙兩個位置固定的點電荷相距 L,帶正電量分別為 +4Q 與 +9Q。若想在甲、乙兩個點電荷之 間放入一個帶負電的點電荷丙,使得丙受靜電力為零,則點電荷丙的位置應該距離甲為多遠?
(A)
(B)
(C)
(D)
答案:登入後查看
統計: A(854), B(280), C(426), D(200), E(0) #1807634
統計: A(854), B(280), C(426), D(200), E(0) #1807634
詳解 (共 7 筆)
#4040332

23
1
#3390206
4F 這裡
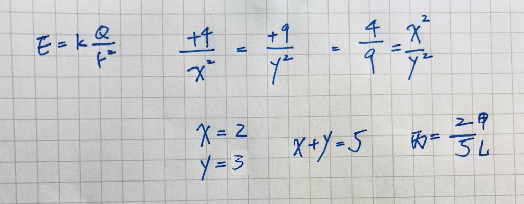
4/x^2 = 9/(L-x)^2
4(L-x)^2 = 9 (x)^2
(L-x)^2 = 9/4 (x)^2
(兩邊開根號)
(L-x) = 3/2 (x) (-3/2 算出不在答案 不看 )
L = (3/2 + 2/2 ) x
L=5/2(x)
x=2/5(L)
23
1
#3134883
甲 丙(-Q) 乙
4Q------|-------9Q
< X >| >
設距離=X
丙 電荷為負 方向為兩方相吸
所以 K*Q甲 Q丙 / x2 = K*Q丙 Q乙 / (L-x)2
4K/x2=9K/(L-x)2 算出X=2L/5
有誤的話請指教
20
0
#3289904
樓上要改一下
k*Q甲 Q丙 / x2 = K*Q丙 Q乙 / (L-x)2 n
5
1