13.非正式溝通又稱為葡萄藤式(Grapevine)溝通,具有多種類型,下列何者為非?
(A)集群連鎖(Cluster Chain)
(B)密語連鎖(Gossip Chain)
(C)機遇連鎖(Probabi1ity Chain)
(D)單線連鎖(Single-Line Chain)
(E)雙線連鎖( Two- Line Chain) 。

答案:登入後查看
統計: A(217), B(275), C(319), D(1169), E(3376) #567490

詳解 (共 9 筆)

#948889

集-密-隨-單(機密稅單)



174
0
#835071
依照最常見至較少見的順序分別為:

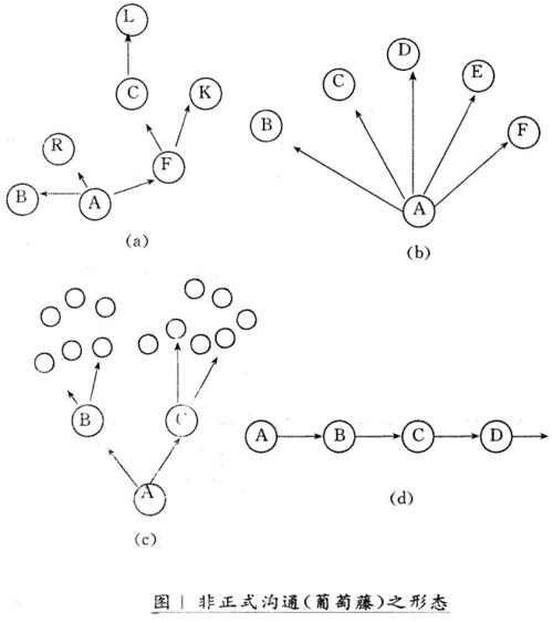
  1、集群連鎖(cluster-chain)。即在溝通過程中,可能有幾個中心人物,由他轉告若干人,而且有某種程度的彈性。

  2、密語連鎖(gos—sipchain)。由一人告知所有其他人,猶如其獨家新聞。

  3、隨機連鎖(probabilitychain)。即碰到什麼人就轉告什麼人,並無一定中心人物或選擇性。

  4、單線連鎖。就是由一人轉告另一人,他也只再轉告一個人,這種情況最為少見。
93
0
#1217515
phpnUZ4It
41
0
#1453704
雙向溝通 ,如:目標管理,有機式組織。
 
 
16
1
#4213905
因為非正式組織溝通的途徑與方式非常繁多,...
(共 307 字,隱藏中)
前往觀看
11
0
#2294716
非正式溝通種類:單線 閒談(密語)機率選...
(共 27 字,隱藏中)
前往觀看
11
0
#5026701
葡萄藤式溝通:並不是透過組織層級、部門、...
(共 73 字,隱藏中)
前往觀看
5
0
#1402924
沒有雙向溝通這種東西嗎?
1
4
#7290281

集密隨單

0
0

私人筆記 (共 2 筆)

私人筆記#578049
未解鎖
葡萄藤式溝通種類,Davis分成4類。(...

(共 386 字,隱藏中)
前往觀看
7
1
私人筆記#4158305
未解鎖


(共 0 字,隱藏中)
前往觀看
2
1