17 設有一個二項實驗,實驗次數n=100,成功機率p=0.5。求成功次數恰好為55 次的近似機率:
(A) 0
(B) 0.0484
(C) 0.0157
(D) 0.3413
答案:登入後查看
統計: A(30), B(78), C(21), D(18), E(1) #146320
統計: A(30), B(78), C(21), D(18), E(1) #146320
詳解 (共 5 筆)
#924464
4
2
#524088
用fx-82SX硬算,把答案算出來了
f(x=55)=C100取55 * 0.5^100 =0.0484
f(x=55)=C100取55 * 0.5^100 =0.0484
2
0
#5702243
常態近似2項分配
用連續校正後
p(54.5<x<55.5)
求出Z值相減,即為答案
用連續校正後
p(54.5<x<55.5)
求出Z值相減,即為答案
0
0
#116381
這題要硬算嗎?
0
0
#121518
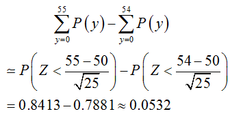
Normal approximation to binormal distribution
~ N(50,25) 在距離 50 一個標準差的地方
~ N(50,25) 在距離 50 一個標準差的地方
0
0