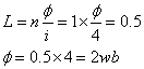
18 電感值大小為 0.5 亨利的電感器,若通過 4 安培的電流,可以產生的磁通鏈為何?
(A)32 韋伯
(B)16 韋伯
(C)8 韋伯
(D)2 韋伯
答案:登入後查看
統計: A(10), B(27), C(140), D(986), E(0) #843149
統計: A(10), B(27), C(140), D(986), E(0) #843149
詳解 (共 5 筆)
#1126033
21
1
#5636759
111年上榜解題還願,有錯請指導。


2
0
#2938559
沒有N怎算
1
2
#1147743
沒有N
0
0