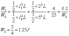
27 已知某一電感器在通過 2 A 電流時,其儲存的能量為 0.2 焦耳,則當電流提升至 5 A 時,儲存的能量為多少?
(A)0.50 焦耳
(B)0.75 焦耳
(C)1.25 焦耳
(D)1.50 焦耳
答案:登入後查看
統計: A(96), B(32), C(1051), D(14), E(0) #843158
統計: A(96), B(32), C(1051), D(14), E(0) #843158
詳解 (共 3 筆)
#1126380
13
0
#5636776
111年上榜解題還願,有錯請指導。


1
0