阿摩線上測驗
登入
首頁
>
教甄◆數學
>
111年 - 111 中區縣市政府教師甄選策略聯盟:數學#108969
> 試題詳解
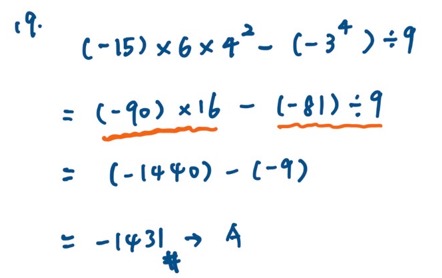
19. 計算
的 值為 何 ?
(A) -1431
(B) -151
(C) 151
(D) 1431
答案:
登入後查看
統計:
A(1687), B(78), C(34), D(86), E(0) #2953812
詳解 (共 3 筆)
Chen Chen
B2 · 2022/07/10
#5550136
43
0
陳小刀
B1 · 2022/07/07
#5544802
(-15)×6×42- ( -34 )÷...
(共 70 字,隱藏中)
前往觀看
12
0
惠
B3 · 2024/04/14
#6067398
(共 1 字,隱藏中)
前往觀看
4
0
私人筆記 (共 1 筆)
美媽
2025/04/06
私人筆記#6846766
未解鎖
(共 0 字,隱藏中)
前往觀看
3
0
相關試題
1. 對國小低年級學童而言,下列四個比較型的加減法文字問題中,哪一個題型最難? (A)大大有52元,已知雄哥比大大多7元,請問雄哥有多少元? (B)小小有50元,花花有19元,請問花花比小小少多少元? (C)明明有40元,已知明明比英英少29元,請問英英身上有多少元? (D)貞貞有49元,已知華華比貞貞少17元,請問華華有多少元?
#2953794
2. 有三個加減法問題如下: 甲、小明有6顆彈珠,小華給他2顆彈珠後,請問小明有幾顆彈珠? 乙、小明有6顆彈珠,小華給他一些彈珠後,小明現在有8顆彈珠,請問小華給小明幾顆彈珠? 丙、小明有一些彈珠,小華給他2顆彈珠後,小明現在有8顆彈珠,請問小明原來有幾顆彈珠? 請問對於大部分低年級學生而言,由易到難順序為何? (A)甲→乙→丙 (B)甲→丙→乙 (C)丙→乙→甲 (D)乙→丙→甲
#2953795
【已刪除】複選題3. 下面除法問題中,哪個題目所代表的類型與其他三者不同? (A) 6個同學平分成3組,每組有幾個人? (B) 6個彈珠平分到3個盒子中,可裝成幾個盒子? (C) 6個蘋果平分給3個人,每個人得到幾個蘋果? (D) 6個蘋果每3個裝1包,共可分裝成幾包?
#2953796
4. 老師想布一些「利用參照數比較分數大小」的問題進行教學,有四個布題如下: 甲、比較 的大小 乙、比較的大小 丙、比較 的大小 丁、比較的大小請問哪些問題是適合以 為參照數進行分數大小比較的布題? (A)只有甲、丙 (B)只有甲、丁 (C)只有甲、丙、丁 (D)只有乙、丙、丁
#2953797
5. 下列何者可能是分數所代表的意義? (A) 2 ÷5 的結果 (B)2:5的比值 (C)2個 (D)以上都對
#2953798
6. 和「角與角度」有相關的單元,有三個教學活動如下: 甲、利用量角器實測角度 乙、三角形的三內角和是180度 丙、透過旋轉角理解平角是180度 請問最合理的教學安排順序為何? (A)甲→丙→乙 (B)乙→丙→甲 (C)丙→甲→乙 (D)丙→乙→甲
#2953799
7. 在整數的四則運算中,如果有些學童只會使用「由左到右」的運算規約,則下列哪一個不適合做為診斷這一類學童的評量試題? (A) 24 - 5✖ 2- 4 = ()( ) (B) 10 + 2✖ 6- 5=()(C) 18- 8+ 3✖ 3=( ) (D) 4✖ 3+ 8- 5=( )
#2953800
8. 有二個數學問題如下: 甲、有72顆蘋果,每3顆裝1袋,每4袋裝1箱,請問可以裝成幾箱? 乙、有一些糖果,每3顆裝1袋,或每4顆裝1袋,都可以裝完沒有剩下,請問糖果最少有幾顆? 請問哪些問題適合做為學習「連除兩數相當於除以兩數之積」的教學布題? (A)甲、乙都適合 (B)只有甲適合 (C)只有乙適合 (D)甲、乙都不適合
#2953801
9. 教師要引導學童瞭解「乘法交換律」。下列哪一道問題最適合布題? (A)哥哥有5枝鉛筆,弟弟的鉛筆數量是哥哥的6倍,請問弟弟有幾枝鉛筆? (B)一盒鉛筆有5枝,弟弟買了6盒,請問弟弟有多少枝鉛筆? (C)全班同學排隊參加升旗典禮,每一排有5人,全班排6排,請問全班有幾人? (D)一枝鉛筆長5公分,小志將6枝鉛筆排成一排,請問6枝鉛筆排出來的長度是多少公分?
#2953802
10. 在學過了加法的結合律之後,教師想讓學生經由計算練習掌握結合律對計算的方便性。有四個計算問題如下: 甲、12+3+4=? 乙、36+99+1=? 丙、58+123+77=? 丁、100+200+300=? 請問哪些問題較為適合? (A)只有甲、乙 (B)只有乙、丙 (C)只有丙、丁 (D)只有乙、丙、丁
#2953803
相關試卷
115年 - 115-1 國立嘉科實驗高級中學_教師甄選試題_高中部:數學科#138615
2026 年 · #138615
115年 - 115-1 臺北市立大同高級中學_教師甄選初選試題:高中數學科#138591
2026 年 · #138591
115年 - 115-1 臺北市立大安高工教師甄選試題:數學科#138455
2026 年 · #138455
115年 - 115-1 國立臺灣師範大學附屬高級中學_專任教師甄選試題:數學科#138411
2026 年 · #138411
115年 - 115-1 國立臺灣師範大學附屬高級中學_專任教師甄選試題:數學科#138410
2026 年 · #138410
115年 - 115-1 國立臺灣師範大學附屬高級中學_專任教師甄選試題:數學科#138409
2026 年 · #138409
115年 - 115-1 臺北市立麗山高級中學_正式教師甄選試題:數學科#138397
2026 年 · #138397
115年 - 115-1 國立臺南一中_教師甄選初試試題:數學#138376
2026 年 · #138376
115年 - 115 國立嘉科實驗高級中學_國小部普通班教師甄選試題:數學#138356
2026 年 · #138356
115年 - 115-1 國立中央大學附屬中壢高級中學教師甄選試題:數學科#138235
2026 年 · #138235