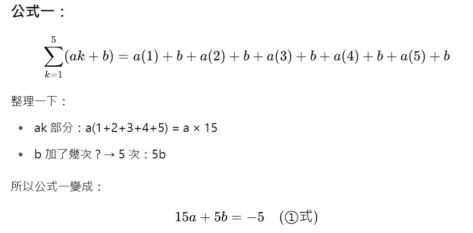
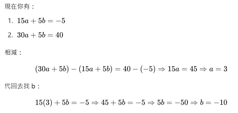
26. 已知
,試求a+b之值為何?
(A) -10
(B) -7
(C) -3
(D) 3
答案:登入後查看
統計: A(124), B(1116), C(353), D(111), E(0) #2953819
統計: A(124), B(1116), C(353), D(111), E(0) #2953819
詳解 (共 5 筆)
#5550149
92
0
#6411480




0
0