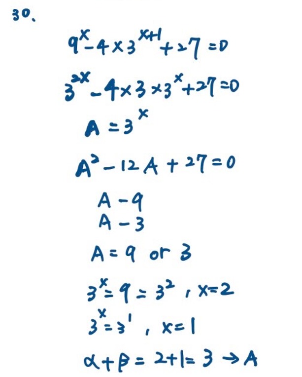
30. 設α和β為
之二根,求α+β之值為何?
(A) 3
(B) 4
(C) 9
(D) 12
答案:登入後查看
統計: A(815), B(321), C(347), D(237), E(0) #2953823
統計: A(815), B(321), C(347), D(237), E(0) #2953823
詳解 (共 5 筆)
#5549588
107
0
#7358553

0
0
#5841345
請問 這題是在考什麼概念?
0
1