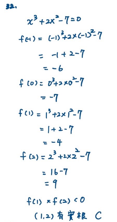
32. 方程式x 3+2x 2-7=0在下列哪一個區間有實根?
(A) (-1,0)
(B) (0,1)
(C) (1,2)
(D) (2,3)
答案:登入後查看
統計: A(176), B(277), C(935), D(350), E(0) #2953825
統計: A(176), B(277), C(935), D(350), E(0) #2953825
詳解 (共 7 筆)
#5549593
70
0
#5665616
補充 方程式的引入與解的意義
(1)由n次多項式到n次方程式
f(x)= anxn+an-1xn-1+…+a1x+a0 是n次多項式,方程式f(x)=0稱為n次(多項)方程式。
例如:3x-=0,x2-3x-54=0,(1+)3=1.2分別是1次、2次、3次方程式。
(2)方程式的根:
一個數x0若滿足f(x0)=0,就稱x0為方程式f(x)=0的根或解。有時特別強調x0為複數、實數、有理數或整數,x0又稱為複數根、實根、有理根或整數根。
(3)實根的幾何解釋:
例如:(1)y=f(x)=x2-3x-4的圖形,如右圖所示:
圖形與x軸相交於兩點(-1,0)、(4,0),其橫坐標-1與4就是x2-3x-4=0的實根。
(2)y=g(x)=x2+x+1的圖形,如右圖所示:
圖形與x軸沒有交點,因為y=g(x)=(x+)2+,所以沒有任何實數x,使得g(x)=0,故g(x)=0沒有實根。方程式x2+x+1=0 的解x= 。
一般而言,n次多項式y=f(x)的圖形是一條波浪形、平滑的連續曲線。若該曲線和x軸相交,那麼交點P(x0,f(x0))的橫坐標x0必滿足f(x0)=0,所以x0是方程式f(x)=0的一個實根,如果該曲線與x軸沒有交點,此時任何實數均不是方程式f(x)=0的根,因此方程式f(x)=0無實根。
實係數n次方程式f(x)=0的實根a Ûn次函數y=f(x)的圖形與x軸交於點(a,0)
10
0
#7358587

1
0