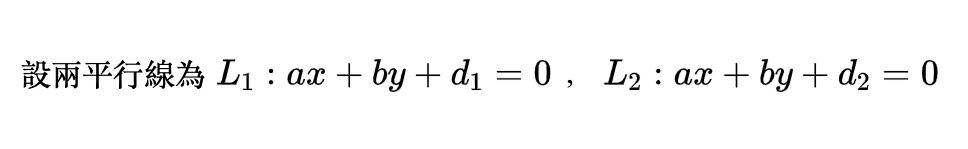
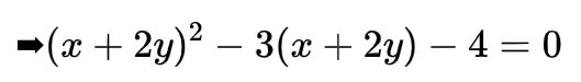
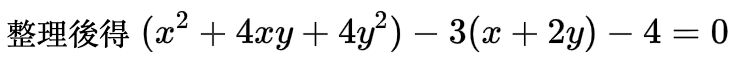
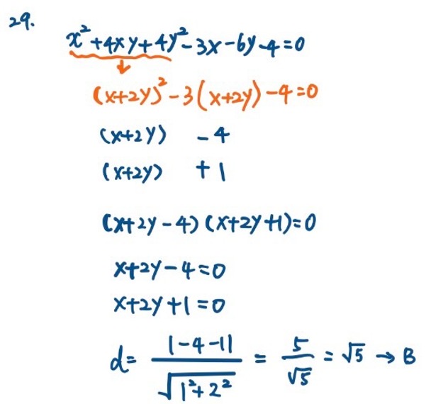
29. 若x2+4xy+4y 2-3x-6y- 4= 0之圖形為二平行線,則此兩平行線之距離為何?
(A)
(B)
(C) 4
(D) 5
答案:登入後查看
統計: A(328), B(744), C(425), D(222), E(0) #2953822
統計: A(328), B(744), C(425), D(222), E(0) #2953822





