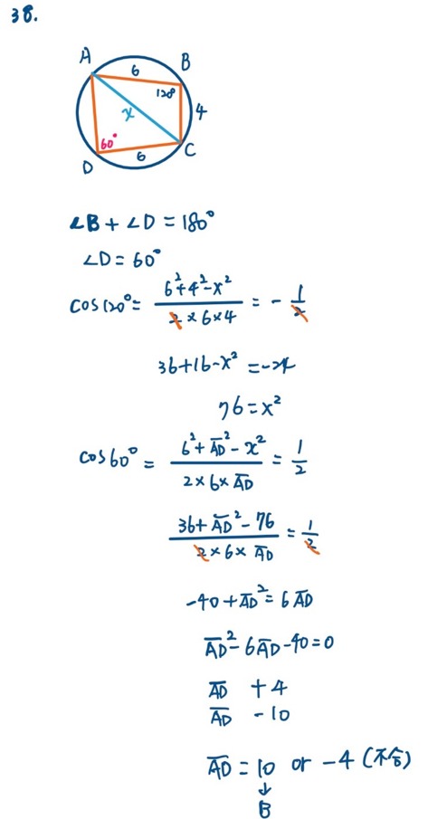
38. 有一圓內接四邊形ABCD,若
= 6 ,且 ∠ABC= 120° ,則
為何?
(A) 9
(B) 10
(C) 11
(D) 12
答案:登入後查看
統計: A(255), B(917), C(232), D(316), E(0) #2953831
統計: A(255), B(917), C(232), D(316), E(0) #2953831
詳解 (共 5 筆)
#5544824

遇到這種給數字、角度的題目,建議畫圖出來很快能解題
105
0
#5549611
45
1
#5714514
利用餘弦定理公式就可以算,a2+b2-2ab cos(c)=c2
因為圓內接四邊形對角相加是180度,所以就可以知道∠ADC=60
62+42-2x6x4cos120=76(AC線段長的平方)
因此AD2+62-2x6xADxcos60=76
AD=-4或10(負不合)
AD=10
3
1