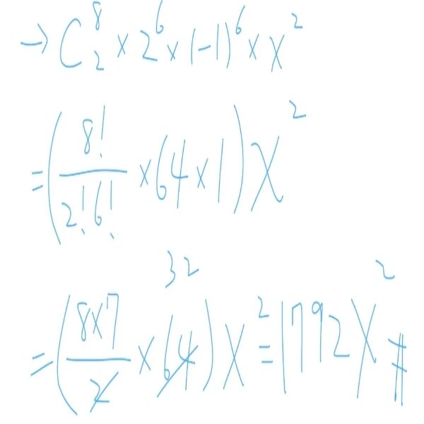
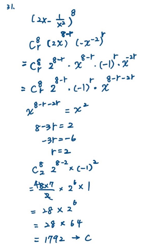
31. 將
展開後,x 2項的係數為何?
(A) 448
(B) 896
(C) 1792
(D) 3584
答案:登入後查看
統計: A(230), B(479), C(841), D(113), E(0) #2953824
統計: A(230), B(479), C(841), D(113), E(0) #2953824
詳解 (共 10 筆)
#5549590
74
1
#6115310

18
0
#6415707


2
0
#7352320
二項式定理
1
0
#7358572

0
0