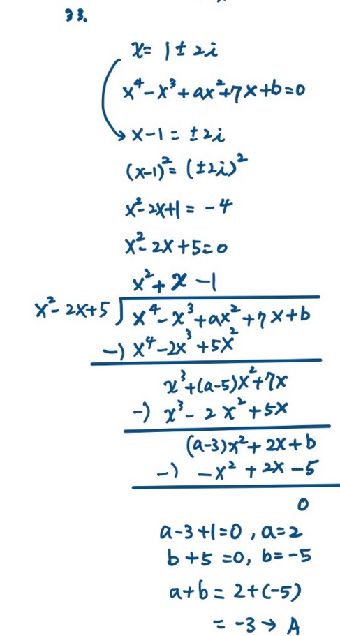
33. 已知x 4-x 3+ax 2+7x+b=0,其中 a , b
R 。若有一根為 1+2 i ,則a+b之值為何?
(A) -3
(B) -1
(C) 1
(D) 3
統計: A(592), B(486), C(394), D(190), E(0) #2953826
詳解 (共 7 筆)
Point:高中數學第一冊
1.共軛虛根必成對存在:若有一根為 1+2i ,必有另一根 1-2i 。
2.四次方程式必有四根,可因式分解成(x-a)(x-b)(x-c)(x-d)=0 或(x2+ax+b)(x-c)(x-d)=0
解題
Step 1:
若有一根為 1+2i ,必有另一根 1-2i 。
得x=1±2i,移向後得到➡ x-1=±2i 同平方➡ (x-1)2=(2i)2
展開後得➡ x2-2x+1=-4 整理後得➡ x2-2x+5=0
Step 2:
四次方程式必有四根,可因式分解成(x2+ax+b)(x-c)(x-d)=0
➡ x 4-x 3+ax 2+7x+b=0 可因式分解成(x2-2x+5)(x-c)(x-d)=0
利用長除法➡
x 2+ x -1
x2-2x+5 ) x 4- x 3+ ax2+7x+b
x 4-2x 3+5x2
x 3+(a-5)x2+7x
x 3 - 2x2+5x
(a-3)x2+2x+b
-x2+2x -5
0
(因為要將方程式整除,故由2x下手)
Step 3:
(a-3)-(-1)=0 ➡ a=2
b-(-5)=0 ➡ b=-5
得a+b=2-5=-3
