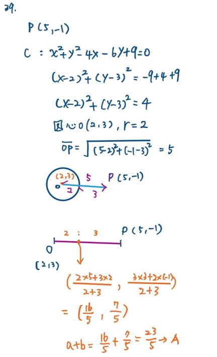
39. 已知平面上有一點P(5,-1)且圓C:x 2+y 2-4x-6y+9=0,若圓C上與P最近的點之座標為(a,b),則a+b之值為何?
(A)
(B)
(C)
(D)
答案:登入後查看
統計: A(573), B(408), C(434), D(174), E(0) #2953832
統計: A(573), B(408), C(434), D(174), E(0) #2953832