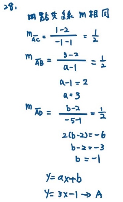
28. A(1,2), B(a,3),C(-1,1), D(-5,b)四 點共 線 ,則 y=ax+ b的 直線 方 程式 為 何 ?
(A) y=3x- 1
(B) y=3x+1
(C) y=- x-1
(D) y=- x+1

答案:登入後查看
統計: A(1266), B(267), C(158), D(88), E(0) #2953821

詳解 (共 5 筆)

#5549584
64
2
#5544815
設通過A(1,2), C(-1,1)之直...
(共 97 字,隱藏中)
前往觀看
26
0
#5834237
26
2
#5550912
此題答案應為無解,題目中提到要4點共線,光A點和C點代入就出現不吻合的狀況。
另外利用斜率來計算的話也不完全正確,斜率相同並不代表就是同一條線,有可能是平行線的狀況。

所以綜合以上的結論正確答案應該是2y=x+3才是正確的答案,此題的四個選項都是錯誤的!
4
6
#7324048
直線斜率公式 大補充!!  

(共 17 字,隱藏中)
前往觀看
4
0

私人筆記 (共 2 筆)

私人筆記#5960028
未解鎖
 


(共 3 字,隱藏中)
前往觀看
5
0
私人筆記#7922078
未解鎖
直線斜率公式 大補充!!  

(共 17 字,隱藏中)
前往觀看
2
0