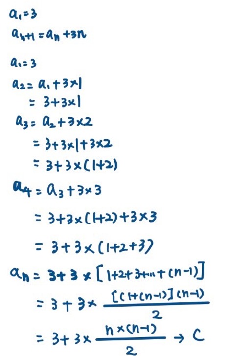
27. 數列<an >滿足a1=3,
,n為自然數,則下列選項何者正確?
(A)<an>是等比數列
(B)<an>是等差數列
(C)
(D)
答案:登入後查看
統計: A(237), B(336), C(1058), D(180), E(0) #2953820
統計: A(237), B(336), C(1058), D(180), E(0) #2953820
詳解 (共 6 筆)
#5549583
75
0
#5545790

12
0
#5778518
不好意思,我太久沒接觸數學,這個題目的公式我不是很明白,
an=a1+3n
請問,n不是代表項數嗎? 我一直覺得如果照大家的詳解邏輯,
出題老師要出的題目公式應該是an=a1+3(n-1)
這樣n=1
a1=3+3(1-1)=3+0=3
才會得到a1=3
而a2=a1+3(2-1)=3+3(2-1)=6
有人可以跟我討論一下嗎?
3
1
#7357629

0
0