阿摩線上測驗 登入

試題詳解

試卷:111年 - 111 中區縣市政府教師甄選策略聯盟:數學#108969 | 科目:教甄◆數學

試卷資訊

試卷名稱:111年 - 111 中區縣市政府教師甄選策略聯盟:數學#108969

年份:111年

科目:教甄◆數學

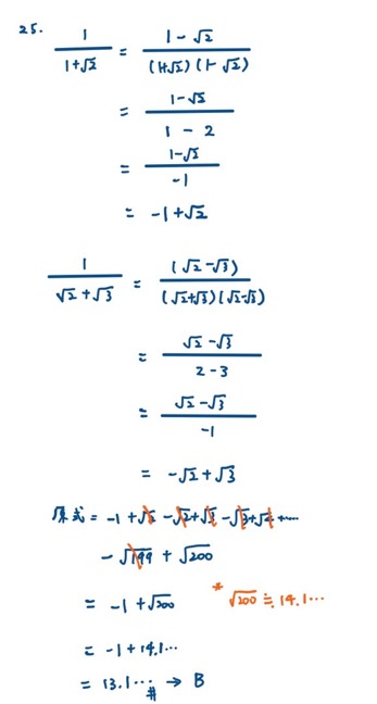
25. 的結果最接近下列哪一個整數?
(A) 11
(B) 13
(C) 15
(D) 17

正確答案:登入後查看

詳解 (共 2 筆)

推薦的詳解#5568658
未解鎖


(共 1 字,隱藏中)
前往觀看
32
0
推薦的詳解#5766891
未解鎖
分母有理化原式= (1-√200)/(-...
(共 113 字,隱藏中)
前往觀看
5
0

私人筆記 (共 2 筆)

私人筆記#5016613
未解鎖


(共 0 字,隱藏中)
前往觀看
2
0
私人筆記#5959709
未解鎖


(共 0 字,隱藏中)
前往觀看
0
0