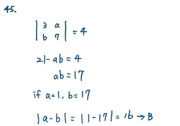
45. 已知a,b為整數,且行列式,請問絕對值 |a-  b |為何?
(A) 6
(B) 16
(C) 17
(D) 18

答案:登入後查看
統計: A(111), B(1139), C(368), D(109), E(0) #2953838

詳解 (共 4 筆)

#5549621
57
3
#5544803

行列式交叉計算

3x7-ab=4
21-ab=4
ab=17 (a=17或b=1、a=1或b=17)

la-bl為l17-1l或l1-17l 答案皆為16

22
0
#5550262


(共 1 字,隱藏中)
前往觀看
15
0
#6083528


(共 1 字,隱藏中)
前往觀看
5
0