阿摩線上測驗
登入
首頁
>
四技二專統測◆數學C
>
115年 - [無官方正解]115 四技二專統測_共同科目:數學(C)#139249
> 試題詳解
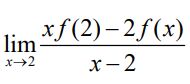
22. 已知多項式f(x)滿足f(2)=f'(2)=115,試求
=?
(A)345
(B)115
(C)-115
(D)-345
答案:
登入後查看
統計:
尚無統計資料
相關試題
19. 已知橢圓具有下列光學性質:由其中一焦點F發射光線,經過橢圓鏡面一次反射,必然通過另一焦點F'。考慮橢圓=1與焦點F(c,0)及F'(-c,0),且c>0,當射手小華在焦點F朝橢圓上點A(0,3)發出雷射光,光線直線前進至A點反射後直線前進通過焦點F',然後在橢圓上另一點B反射,光線繼續前進回到F點並且不幸的擊中他自己。試問這束雷射光在這段過程中所走的距離為何? (A)15 (B)20 (C)25 (D)30
#3874048
20. 林業及自然保育署利用空拍機拍攝一個堰塞湖。小茗想知道該堰塞湖的蓄水量,因此在該照片上畫了一個平行四邊形,如圖(三)所示,經測量得知約60公尺、約24√3公尺、∠BAC約120°,並得知該堰塞湖平均深度約40公尺。試問這個堰塞湖的蓄水量最接近下列何者? (A)30000立方公尺 (B)50000立方公尺 (C)70000立方公尺 (D)90000立方公尺
#3874049
21. 在直角坐標平面上,極坐標表示法為r=sinθ+cosθ的圖形為何? (A)圓 (B)正方形 (C)直線 (D)拋物線
#3874050
23. 阿勇以平面向量設計戰爭攻略遊戲,設O(0,0)為基地,列車與砲彈同時由O點出發及發射。列車沿=(1,2)方向的直線軌道前進,砲彈發射後第t秒的位置為(3t,4t)。若忽略砲彈大小與其他環境因素,則砲彈發射後第2秒時,砲彈離列車軌道的距離為何? (A)(B)(C) (D)
#3874052
24. 小樺與同學參加密室逃脫遊戲,其中有一道門需二個數字a、b開鎖,門上開鎖提示:矩陣經列運算可化成。試求a+b=? (A)-2 (B)2 (C)5 (D)10
#3874053
25. 試求函數f(θ)=sin(-θ)+cosθ的最大值為多少? (A)√7 (B)√3+1 (C)√3 (D)1
#3874054
1. 若一元二次方程式 x²-3x-3=0 的兩根為α、β,則下列哪一個方程式的兩根為? (A)x²+5x+1=0 (B)x²-5x+1=0 (C)x²+5x-1=0 (D)x²-5x-1=0
#3874030
2. 已知一個等差數列a₁,a₂,a₃,a₄,a₅,前三項和為24,後四項和為50,試求a₁+a₂+a₃+a₄+a₅=? (A)53 (B)55 (C)57 (D)59
#3874031
3. 在空間坐標系中,兩點A(-1,2,-3)、B(2,4,-1)的距離為多少? (A)√29 (B)√21 (C)√17 (D)3
#3874032
4. 行政院主計處薪情平台發布,臺灣20~30歲年輕族群的平均薪資呈現上升趨勢,根據2024~2025年數據,未滿30歲者平均年所得x約落在54.6萬至55.9萬元。若將此平均年所得範圍表示為|x-c|≤d(單位:萬元),則2c+4d=? (A)111.8 (B)112.5 (C)113.1 (D)114.4
#3874033
相關試卷
115年 - 115 身心障礙學生升學大專校院甄試試題_四技二專組:數學(C)#139528
2026 年 · #139528
115年 - [無官方正解]115 四技二專統測_共同科目:數學(C)#139249
2026 年 · #139249
114年 - 114 身心障礙學生升學大專校院甄試試題_四技二專組:數學(C)#137245
2025 年 · #137245
114年 - 114 四技二專統測_共同科目:數學(C)#128138
2025 年 · #128138
113年 - 113 身心障礙學生升學大專校院甄試試題_四技二專組:數學(C)#125668
2024 年 · #125668
113年 - 113 四技二專統測_共同科目:數學(C)#119830
2024 年 · #119830
112年 - 112 身心障礙學生升學大專校院甄試試題_四技二專組_共同科目:數學(C)#118679
2023 年 · #118679
112年 - 112 四技二專統測_共同科目:數學(C)#117824
2023 年 · #117824
111年 - 111 身心障礙學生升學大專校院甄試試題_四技二專組_共同科目:數學(C)#118918
2022 年 · #118918
111年 - 111 四技二專統測_共同科目:數學(C)#107692
2022 年 · #107692