阿摩線上測驗
登入
首頁
>
國中會考基測◆數學科
>
109年 - 109 國中教育會考(補考):數學科#86425
> 試題詳解
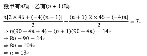
23. 已知甲、乙兩個等差級數的首項皆為 45 ,公差皆為 − 4 ,且甲比乙少一項。 若甲的級數和與乙的級數和相差 7 ,則甲有多少項?
(A) 9
(B) 10
(C) 12
(D) 13
答案:
登入後查看
統計:
A(34), B(56), C(50), D(132), E(0) #2333652
詳解 (共 2 筆)
lisa-tine
B1 · 2020/06/02
#4028248
30
0
Viva Home
B2 · 2020/06/10
#4051623
乙多一項為an-4=-7, an=-3a...
(共 77 字,隱藏中)
前往觀看
2
0
私人筆記 (共 1 筆)
Terry Tung
2023/03/08
私人筆記#4933440
未解鎖
(共 1 字,隱藏中)
前往觀看
1
0
相關試題
1. 算式 之值為何? (A)(B) (C)(D)
#2333630
2. 圖(一)的四邊形ABCD、 AEFG為兩全等正方形,且 與相交於H 點。下列哪一條直線為多邊形ABCHFG 的對稱軸? (A) 直線 AH (B) 直線 AC (C) 直線 DE (D) 直線 GB
#2333631
3. 下列何者為二元一次方程式 x − 2y = 10 的解?(A) x = 4, y = −7 (B) x = 4, y = −3 (C) x = 4, y = 5 (D) x = 4, y = 7
#2333632
4. ( 2x2 + 5 ) − ( x + 5 ) 經化簡後可得到下列何者? (A) x2 (B) 2x (C) 2x2 − x (D) 2x2 − x + 10
#2333633
5. 判斷之值介於下列哪兩個數之間?(A) 5, 5.5 (B) 5.5, 6 (C) 14, 14.5 (D) 14.5, 15
#2333634
6. 表 ( 一 ) 為甜心幼稚園開學時兩個班級的全班最高身高與最低身高的資料, 若隔天有一位身高 103 公分的新生加入蘋果班就讀,有一位身高 119 公分的 新生加入鳳梨班就讀,則與兩人加入前的表 ( 一 ) 資料相比較,加入後這兩個 班級身高全距的變化為何? (A) 蘋果班變大,鳳梨班變大 (B) 蘋果班變大,鳳梨班不變 (C) 蘋果班不變,鳳梨班變大 (D) 蘋果班不變,鳳梨班不變
#2333635
7. 算式 ( 23 × 34 )2 × ( 24 × 32 ) 之值可用下列哪一個選項表示?(A) 29 × 38 (B) 210 × 310 (C) 213 × 318 (D) 224 × 316
#2333636
8. 圖 ( 二 ) 為小豪到超商購買飲料的經過。 若每瓶汽水的原價為 a 元,則根據圖中的內容可以列出下列哪一個方程式? (A) 2a + 18 = 3a × 0.8 (B) 2a − 18 = 3a × 0.8 (C) 2a × 0.9 + 18 = 3a × 0.8 (D) 2a × 0.9 − 18 = 3a × 0.8
#2333637
9. 如圖 ( 三 ),數線上由左至右依序有 A、 B、 C 三點,其中 B 點坐標為 − 1, C 點 坐標為 3。若 = 3,則 A 點的坐標為何? (A) − 5 (B) − 7 (C) − 9 (D) − 13
#2333638
10. 已知 315 = 32 × 5 × 7, 588 = 22 × 3 × 72 。若 a 為 315 和 588 的最小公倍數, 則下列敘述何者正確? (A) a 為 315 的 21 倍 (B) a 為 588 的 21 倍 (C) a 為 315 的 28 倍 (D) a 為 588 的 28 倍
#2333639
相關試卷
114年 - 114 國中教育會考:數學#127076
2025 年 · #127076
113年 - 113 張進通許世賢教育文教基金會_雲嘉南區國中數學能力競試試題:數學(二)#124230
2024 年 · #124230
113年 - 113 張進通許世賢教育文教基金會_雲嘉南區國中數學能力競試試題:數學#124229
2024 年 · #124229
113年 - 113 國中教育會考 :數學#119879
2024 年 · #119879
112年 - 112 張進通許世賢教育文教基金會_雲嘉南區國中數學能力競試試題:數學一#124231
2023 年 · #124231
112年 - 112 國中教育會考(大陸考場):數學#116361
2023 年 · #116361
112年 - 112 國中教育會考:數學#114306
2023 年 · #114306
111年 - 111 國中教育會考(參考試題):數學科#113403
2022 年 · #113403
111年 - 111 國中教育會考(補考):數學科#113398
2022 年 · #113398
111年 - 111 國中教育會考:數學#108009
2022 年 · #108009