阿摩線上測驗
登入
首頁
>
初等/五等/佐級◆統計學大意
>
100年 - 100 初等考試_統計:統計學大意#15857
> 試題詳解
試題詳解
試卷:
100年 - 100 初等考試_統計:統計學大意#15857 |
科目:
初等/五等/佐級◆統計學大意
試卷資訊
試卷名稱:
100年 - 100 初等考試_統計:統計學大意#15857
年份:
100年
科目:
初等/五等/佐級◆統計學大意
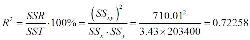
24 承上題,以下何者最接近本分析之判定係數(Coefficient of determination,R2 )?
(A) 0.722
(B) 0.851
(C) 0.647
(D) 0.682
正確答案:
登入後查看