29. 某老師為瞭解英語測驗的信度,他將測驗分成奇數題和偶數題兩部分分數,求得相關係數為 0.60,則該測驗的折半信度
(split-half reliability)為何?
(A) 0.60
(B) 0.75
(C) 0.80
(D) 0.95
答案:登入後查看
統計: A(2519), B(2582), C(701), D(146), E(0) #868365
統計: A(2519), B(2582), C(701), D(146), E(0) #868365
詳解 (共 10 筆)
#1124118
折半信度=2*相關係數/1+相關係數
2*0.6/1+0.6 =1.2/1.6 =0.75
327
0
#1859761
56
0
#1295683
這份考卷也考太多統計==
30
1
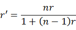
#3654777
折半信度= n*r/ 1+(n-1)*r
n=試題增加或減少的倍數
r=相關係數
18
1
#2597688
不好意思我數學不好@@
但最佳解是不是要加個括號才對呢><??
折半信度=2*相關係數/(1+相關係數)
2*0.6/(1+0.6) =1.2/1.6 =0.75
15
0
#1341078
由斯布校正公式得來,n代入2求得折半信度
13
2
#1348569
這份頗難啊~!
6
1
#2884288
可能是這樣理解:分奇偶數,各 n 題時的相關係數=0.60,整份測驗合起來 2n 題,去算出折半信度。
3
0
#2788883
請問為何N是2而不是1/2?
原本題目是奇數+偶數題
後來變成單奇數題或單偶數題
題目數量變為原本的1/2
懇請高人解惑,謝謝
2
0
