所屬科目:教育測驗與評量(統計)
(一)請說明 z 分數與 T 分數的計算方式為何?
(二)為何在教育與心理測驗中,要使用 z 分數與 T 分數,而不直接使用原始分數?
(三) 請說明何謂常模參照 ( Norm-referenced ) 與標準參照 ( Criterion- referenced)?試問 z 分數與 T 分數屬於何者?
(一)分析「入學成績」與「統計學成績」的關聯。
(二)分析「統計學排名」與「微積分排名」的關聯。
(三)分析「性別(男/女) 」與「是否喝酒(是/否) 」的關聯。
(四)分析「性別(男/女) 」與「統計學成績」的關聯。
(一)請說明何謂「信度」與「效度」,並比較兩者之間的差異與關係。
(二)一份測驗若信度高但效度低,可能產生那些問題?若效度高但信度低,又會有什麼後果?請分析其對評量結果的影響。
(三)某位教師發現他設計的段考測驗信度偏低,請推測可能的原因,並說 明他可以採取那些具體策略來提升該測驗的信度。
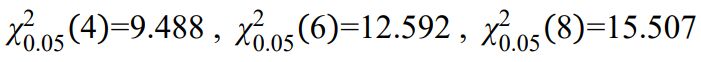
(一)在顯著水準 α = 0.05下 , 試檢定各滿意度類別的比例是否相同 ?
(二)在顯著水準α = 0.05下,試檢定性別與服務滿意度是否具有關聯? 參考之查表值: