阿摩線上測驗
登入
首頁
>
初等/五等/佐級◆統計學大意
>
99年 - 99 初等考試_統計:統計學大意#3391
> 試題詳解
試題詳解
試卷:
99年 - 99 初等考試_統計:統計學大意#3391 |
科目:
初等/五等/佐級◆統計學大意
試卷資訊
試卷名稱:
99年 - 99 初等考試_統計:統計學大意#3391
年份:
99年
科目:
初等/五等/佐級◆統計學大意
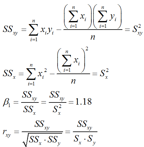
34 依據X與Y 二變數的10 個觀察值,迴歸方程式之估計為yˆ=18.9 +1.18x,又sx=9.2, s y=14.3。則 X 與Y 的相關係數為:
(A) 1.83
(B) 0.64
(C) 0.76
(D) 0.14
正確答案:
登入後查看
詳解 (共 1 筆)
Alovoe Ho
B4 · 2018/11/12
推薦的詳解#3068953
未解鎖
r=ssxy / √ssx*ssy ...
(共 78 字,隱藏中)
前往觀看
3
0