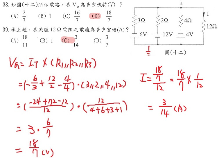
38.求Va為多少伏特(V) ?
(A)2/7
(B)1
(C)16/7
(D)18/7
答案:登入後查看
統計: A(31), B(39), C(91), D(565), E(0) #920059
統計: A(31), B(39), C(91), D(565), E(0) #920059
詳解 (共 5 筆)
#6015097

3
0
#1667847
求解
0
0