所屬科目:台電◆基本電學
1.有一鎢絲電燈在 18 ℃時燈絲電阻為 5歐姆(Ω),當通電發亮時,鎢絲電阻為 70歐姆(Ω),已知 鎢絲在 20 ℃時之電阻溫度係數,則電燈發亮時燈絲溫度為_____℃。
2.如【圖 1】所示,若所有電阻均為 11 歐姆(Ω),則 Reo之等效電阻為_____歐姆(Ω)。
3.如【圖 2】所示之電路中,36 伏特(V)電壓源之輸出功率大小為_____瓦特(W)。
4.如【圖3】所示,若電壓源E = 27伏特(V),R1 = 3歐姆(Ω),R2 = 6歐姆(Ω),L = 5毫亨利(mH), 開關 SW 閉合時 t = 0,則 t>0 之 iL(t)為_____安培( A )。(請使用自然指數 e 表示)
5.如【圖 4】所示,若將 L 之電感值增加為原來的 2 倍,C 之電容值減為原來的倍,則諧振頻 率變為原來的_____倍。
6.以二瓦特表法量測平衡三相負載之功率,其中一瓦特表讀值為另一瓦特表之 2 倍,則此負載之功率因數為______。(計算至小數點後第 3 位,以下四捨五入)
7.有一帶 50 庫侖(C)之電荷,自 A 點移至 B 點耗時 10 微秒(μs),已知 A 點電壓 VA = 200 V,B點電壓VB = 500 V,則平均功率為______吉瓦特(GW)。(計算至小數點後第1位,以下四捨五入)
8.有 A、B 兩個伏特計,伏特計 A 滿刻度電壓為 350 伏特(V)、靈敏度為 1,000 歐姆/伏特(Ω/V), 伏特計 B 滿刻度電壓為 100 伏特(V)、靈敏度為 500 歐姆/伏特(Ω/V),當兩個伏特計串接在一 起量測電壓時,最高可測得電壓為_____伏特(V)。
9.假設在相同負載與距離下可得到相同功率,則單相三線供電系統較單相二線供電系統節省線路用銅量_____%。(計算至小數點後第 1 位,以下四捨五入)
10.有一 RLC 串聯電路,R = 10 歐姆(Ω),C = 200 微法拉(μF),L = 0.5 亨利(H),則頻帶寬(BW)為 _____赫茲(Hz)。(請以π表示)
11.某一負載之電壓為v(t)=100sin (377t + 15°)伏特(V),其電流為i(t)=60 sin (377t - 45°)安培( A ),則該負載消耗之虛功率為_____千乏(kVar)。(計算至小數點後第 2 位,以下四捨五入)
12. 1 度電相當於_____焦耳(J)。
13.如【圖 5】所示為一週期性三角波電流,該電流之波峰因數(Crest Factor)為_____。(計算至小數點後第 2 位,以下四捨五入)
14.某電器每 1小時運轉之功率變化如【圖 6】所示,若每日使用該設備 1小時,且連續使用 30日,假設 1 度電為 3 元,則該電器此 30 日期間的電費為_____元。(計算至小數點後第 1 位,以下 四捨五入)
15.如【圖 7】所示為一無窮長梯等效電容,由 15 C 法拉(F)及 2 C 法拉(F)兩種電容組成,則 ab 端之等效電容值 Cab為_____法拉(F)。
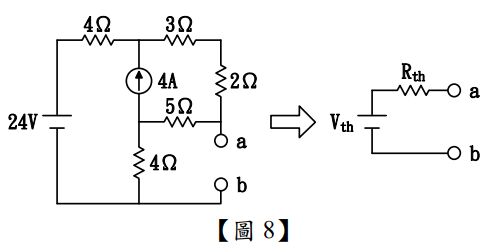
16.如【圖 8】所示之電路,將其轉換為電壓 Vth 及電阻 Rth 串聯之戴維寧等效電路,則該戴維寧 等效電壓 Vth為_____伏特(V)。
17.在 20 ℃下,有一 10毫歐姆(mΩ)電阻,其長度為 14.4公分(cm),截面積為 1平方毫米(mm2 ), 則該電阻材料之電阻率為_____歐姆‧公尺(Ω‧m)。(請用科學記a✖10b表示,其a請計算至小數點後第 2 位,以下四捨五入)
18.有一交流電路之輸入電壓為 v(t) = 100 sin(377 t+30°)伏特(V),則該電路之交流頻率為_____赫茲(Hz)。(π = 3.14,並計算至小數點後第 2 位,以下四捨五入)
19.電路板元件為達到更好佈局,常使用 0 歐姆(Ω)色碼電阻取代跳接導線,則該電阻之色環顏色為_____色。
20.將待測電阻 R、內電阻為 1 kΩ 之伏特計及內電阻為 1 mΩ 之安培計以【圖 9】方式連接,伏 特計顯示值為 30 V,安培計顯示值為 2 A。現改以【圖 10】方式連接,若伏特計仍顯示 30 V ,則安培計顯示數值為_____A。(計算至小數點後第 2 位,以下四捨五入)
(1)為多少安培( A )?
(2)電壓為多少伏特(V)?
(3)虛線所示負載之視在功率為多少伏安(VA)?
(1)該電動機滿載時電源提供之電流有效值為多少安培( A )?
(2)欲將功率因數 PF 提升至 1,則需並聯多少微法拉(μF)之電容器?
(3)承上題,功率因數提升改善後,該電動機滿載時電源提供之電流有效值為多少安培( A )?
(1)開關 S 閉合前,電阻與電感(含互感)所組成之電路,其時間常數為多少秒(s)?
(2)開關 S 閉合後,當 ZL有最大輸出功率時,該 ZL為多少歐姆(Ω)?
(3)開關 S 閉合後,當 ZL有最大輸出功率時,其有效功率為多少瓦特(W)?
(1) 負載 ZH 之電壓 vH 為多少伏特(V)?(請以極座標表示,角度部分請計算至整數位,以下四捨五入)(3 分)
(2)低壓側電流 iL 及共用繞組電流 iCW 分別為多少安培( A )?(請以極座標表示,角度部分請計算至整數位,以下四捨五入)(8 分)
(3)原雙繞組變壓器之容量(即固有容量)為多少伏安(VA)?(請以絕對值表示,並計算至整數位,以下四捨五入)(4 分)