題組內容
3.如【圖 12】所示,若該電路之角頻率 ω = 100 rad/s,試求:(3 題,每題 5 分,共 15 分)
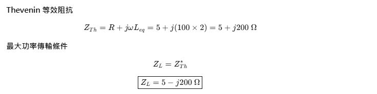
(2)開關 S 閉合後,當 ZL有最大輸出功率時,該 ZL為多少歐姆(Ω)?
詳解 (共 2 筆)
詳解

詳解
