50.戴維斯(K. Davis)認為非正式溝通管道的型態有單向式、集群式、閒談式及:
(A) 隨機式
(B) 八卦式
(C) 罵街式
(D) 叩應式
(A) 隨機式
(B) 八卦式
(C) 罵街式
(D) 叩應式
答案:登入後查看
統計: A(3624), B(540), C(18), D(85), E(0) #567577
統計: A(3624), B(540), C(18), D(85), E(0) #567577
詳解 (共 10 筆)
#822918
請注意
戴維斯還曾經主張 支持社會責任是一個企業在法律&經濟之餘的義務,去追求長期對社會有益的目標。也就是主張 要對社會負責任 不能一昧的賺錢
跟他持反對意見的是"傅俐曼" 認為企業為一目標就是要利潤極大化
戴維斯還曾經主張 支持社會責任是一個企業在法律&經濟之餘的義務,去追求長期對社會有益的目標。也就是主張 要對社會負責任 不能一昧的賺錢
跟他持反對意見的是"傅俐曼" 認為企業為一目標就是要利潤極大化
69
0
#1143357
一、集群連鎖
二、密語連鎖=閒談連鎖
三、機遇連鎖=隨機式
四、單線連鎖=單向式
二、密語連鎖=閒談連鎖
三、機遇連鎖=隨機式
四、單線連鎖=單向式
60
0
#1194986
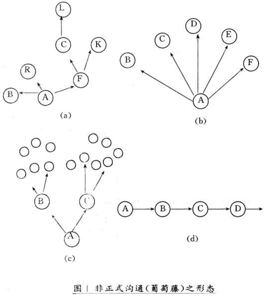
Davis(1985)發現非正式的溝通有四種型態:
1.單線連鎖(single-strand chain):就是由一人轉告另一人,他也只再轉告一個人,這種情況最為 少見如圖(d)。
2.密語連鎖(gossip chain):係指資訊由一人告知所有其他的人,其成為主要訊息的來源,又稱「閒談連鎖」,如圖(b)。
3.機遇連鎖(probability chain):係指資訊隨機散佈,而沒有一定的路線,又稱「隨機連鎖」,如圖(c)。
4.集群連鎖(cluster chain):即在溝通過程中,可能有幾個中心人物,由他轉告若干人,而且有某種程度的彈性,又稱「選擇連鎖」。如圖 (a)中的 A和 F兩人就是中心人物,代表兩個集群的「轉播站」。此種情況在非正式溝通中最為常見。

53
0
#1219102
「機密稅單」
17
2
#950942
非"一昧",而是"一味"
8
2
#968480
C 讓我想到潑婦罵街
4
2
#5384578
集-密-隨-單(機密稅單)
機 = 集群式
密=閒談式 (Gossip) 密語連鎖
稅=隨機式
單=單一式
4
0
#4701923
請問6F..稅是哪來的呢?
1
0
#6634337
非正式溝通又稱葡萄藤式溝通
主要分成:
單線連鎖
隨機連鎖:沒有針對特定人員傳遞資訊,隨機性的
群集連鎖:將資訊傳給特定幾個人員
密語連鎖,又稱閒談連鎖或八卦連鎖
0
0