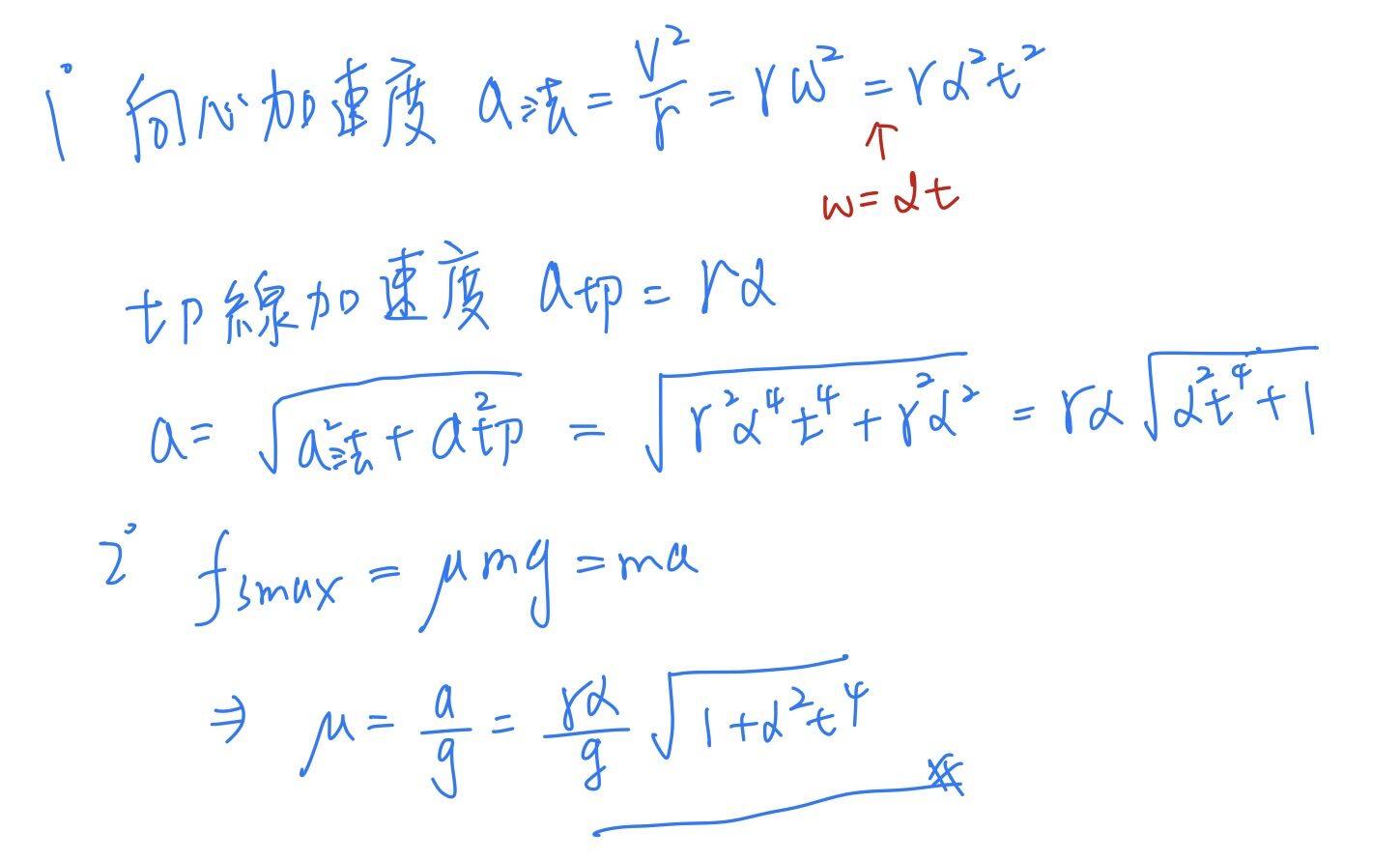
6. 一個質量為m的硬幣放在一轉盤上,距離軸心r。轉盤由靜止開始轉動,角加速度為α。若硬
幣保持隨轉盤一起轉動且無滑動,若t秒後硬幣恰好開始滑動,則硬幣與轉盤間的靜摩擦係
數為(重力加速度為g)
(A) 
(B)
(C) 
(D)
。
答案:登入後查看
統計: A(1), B(1), C(0), D(2), E(0) #1293281
統計: A(1), B(1), C(0), D(2), E(0) #1293281
詳解 (共 1 筆)
#5812332
0
0