阿摩線上測驗
登入
首頁
>
教甄◆物理科專業
>
103年 - 國立科學工業園區實驗高級中學高中部教甄物理科#77202
> 申論題
題組內容
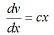
10.0在 軸的原點處,一質點以初速v
o
向+x 軸方向移動。已知質點移動單位距離的速率增加率
,式中 為常數(>0 ),則
(1) 質點通過位置 的速率為何?__________。
相關申論題
1.0一個內部填充氦氣的汽球,由地面升到高空。假設高空的氣壓為地面處的一半,但高空與地面處的溫度相同,若汽球表皮的張力可不計,則在高空處每單位時間內碰撞到汽球表面積上的氦分子數,為地面處的幾倍?____________。
#312545
2.0邊長a = 0.1m,b = 0.2 m的兩長方形線圈各捲繞10匝,將其邊銲接在一起使兩圈面恆互相垂直。今以ω = 80 rad/s的角速度繞此共同邊旋轉,整個結構在均勻磁場 ( = 0.5 T) 中,,此組合的最大感應電動勢為?____________。
#312546
3.0內含有介電質之球殼體電容器的電容值:一個內徑和外徑分別為ra和rb的殼層結構之球體(shell structure),殼球的內、外層為導電材料所包覆,兩導電殼球間則填滿了介電質係數為κ (意即) 的絕緣油。則此其結構體之電容為何?____________。
#312547
4.0如圖所示,一材質不均勻的木棒長 、重量為 、重心位於右端 處,左右兩端分別用長度為L1及L2的絲繩懸於天花板的同一點,於平衡時左、右兩繩的張力大小各為T1及T2,則T1:T2為?____________。
#312548
05.0驗證愛因斯坦的狹義相對論最有力的證據之一是對緲子μ 半衰期的探討。 μ介子在相對它靜止的參考系中,其半衰期為 秒。假設在離地面4460m處的高空,有 N個 μ介子以0.98c的速度沿鉛直方向射向地面,則當 介子到達地面時,約剩下多少個 介子?____________。
#312549
6.0如圖所示,在一水平面上放置兩根足夠長的平行導體軌道,間距為L,在它們的上面橫放兩根平行的導體棒。另在軌道平面上外加一均勻的磁場B,其方向垂直於軌道平面。假設導體軌道的電阻可忽略不計,兩導體棒的質量分別為 m與2m ,電阻均為R,其速度分別為v1 與v2 ,且導體棒可在軌道上無摩擦的滑行,不計電磁輻射,設開始時v1=vo ,v2=0 ,試求兩導體棒產生的最大間距為何?____________。
#312550
7.0系統如圖所示,有一定滑輪質量為M,半徑分別為R與2R,分別與彈力常數 為k與質量為m的彈簧連結,彈簧的質量為零,則此系統振動的角頻率 為何?____________。(定滑輪轉動慣量
#312551
8.0今在地面上,有一「錐動擺」,擺繩長度為 l,擺錘質量為m,擺繩與鉛垂線所夾擺角為 ,如圖所示。重力加速度以g表示,求擺錘旋轉 圓周期間,擺繩張力對擺錘所施衝量大小為何? 。(忽略所有摩擦力&阻力)
#312552
(1) 該均勻電場的強度為若干?____________。
#312553
(2) 電場方向與地面的夾角為若干?____________。
#312554
相關試卷
115年 - 115 新北市公立高級中等學校_教師聯合甄選試題:物理科#139223
115年 · #139223
115年 - 115-1 國立竹東高級中學_教師甄試試題:物理科#138778
115年 · #138778
115年 - 115-1 台北市立中崙高級中學_教師甄選試題:物理科#138762
115年 · #138762
115年 - 115-1 臺中市立豐原高級中等學校_教師甄試試題:物理科#138731
115年 · #138731
115年 - 115-1 臺中市立文華高級中等學校_教師甄選專業知能試題:物理科#138719
115年 · #138719
115年 - 115-1 國立嘉科實驗高級中學_教師甄選試題_高中部:物理科#138701
115年 · #138701
115年 - 115-1 臺南市立沙崙國際高級中學高中部_教師甄選試題:物理科#138688
115年 · #138688
115年 - 115-1 國立屏科實驗高級中等學校_教師甄選:高中物理科#138650
115年 · #138650
115年 - 115-1 臺北市立大同高級中學_教師甄選初選試題:高中物理科#138592
115年 · #138592
115年 - 115-1 臺北市立大安高工教師甄選試題:物理科#138454
115年 · #138454