阿摩線上測驗
登入
首頁
>
技師◆程序控制
>
96年 - 96 專技高考_化學工程技師:程序控制#36597
> 申論題
題組內容
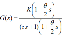
三、考慮程序轉移函數為
,當控制器G
c
= K
c
時:
⑴控制迴路之特性方程式(characteristic equation)為何?(5 分)
相關申論題
⑵利用直接取代法(direct substitution method),決定該迴路的極限增益值(Kcu) 與極限頻率(ωu)。(15 分)
#101760
⑴參考圖中曲線估算超越值(overshoot)?(5 分)
#101761
⑵估算振盪係數(damping coefficient)?(10 分) (數值計算提示:ln0.5=-0.7, ln0.4=-0.9)
#101762
⑶參考圖中曲線估算衰退比例值(decay ratio)? (5 分)
#101763
⑴由圖中選擇適合受控變數(controlled variables)?(5 分)
#101765
⑵由圖中那些變數會受到干擾影響?(5 分)
#101766
⑴請繪出ㄧ般最常見的 V-n 圖。(10 分)
#101767
⑵請解釋 V-n 圖的功用及相對之飛行情況(flight conditions)。(15 分)
#101768
⑴請計算每一鉚釘所受的合力。(15 分)
#101771
⑵假設鉚釘之最大允許應力為 593lb,請計算系統之安全係數(Margin of safety)。 (10 分)
#101772
相關試卷
114年 - 114 專技高考_化學工程技師:程序控制#133695
114年 · #133695
113年 - 113 專技高考_化學工程技師:程序控制#123939
113年 · #123939
112年 - 112 專技高考_化學工程技師:程序控制#117666
112年 · #117666
111年 - 111 專技高考_化學工程技師:程序控制#111966
111年 · #111966
110年 - 110 專技高考_化學工程技師:程序控制#104176
110年 · #104176
109年 - 109 專技高考_化學工程技師:程序控制#93303
109年 · #93303
108年 - 108 專技高考_化學工程技師:程序控制#80793
108年 · #80793
107年 - 107 專技高考_化學工程技師:程序控制#73011
107年 · #73011
106年 - 106 專技高考_化學工程技師:程序控制#66471
106年 · #66471
104年 - 104 專技高考_化學工程技師:程序控制#41517
104年 · #41517