阿摩線上測驗 登入

申論題資訊

試卷:114年 - 114 普通考試_水利工程:流體力學概要#128762
科目:流體力學
年份:114年
排序:0

題組內容

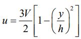
一、在兩塊寬廣且平行的平板間有一牛頓流體流動,如圖所示,流體速度分布為:
式中 V 指平均速度,流體黏度為 0.04 kg / m •s ,V = 2 m / s , h = 0.5 cm 。求計算

申論題內容

(一)作用在底版面之剪應力;