阿摩線上測驗
登入
首頁
>
鐵路◆基本電學(概要)
>
112年 - 112 鐵路特種考試_員級_電力工程、電子工程:基本電學#114937
> 申論題
題組內容
二、
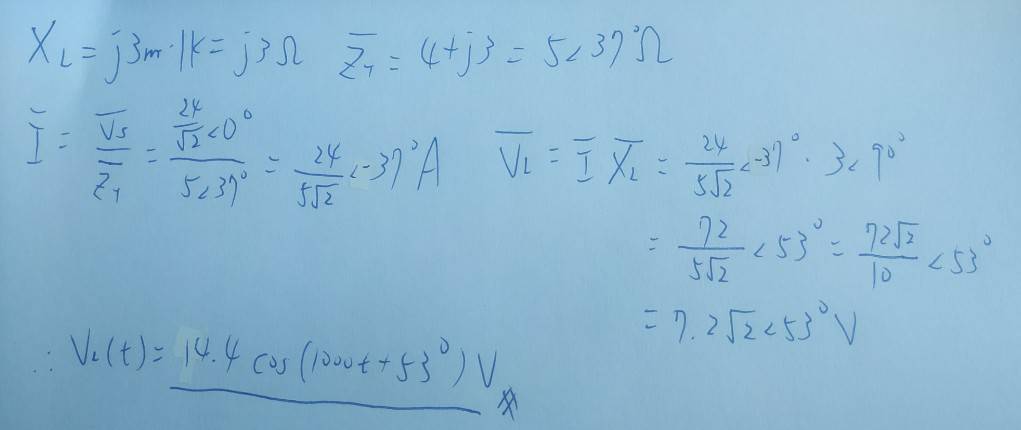
(一)試求圖2電路中的VL(t)為多少?(15分)
詳解 (共 3 筆)
LAI
詳解 #5857817
2023/06/25
轉相域Vs = 24/√2 ∠0°ZL ...
(共 198 字,隱藏中)
前往觀看
yuC邀請碼196783
詳解 #6069653
2024/04/17
(共 1 字,隱藏中)
前往觀看
KJ L
詳解 #5996527
2023/12/28
相關申論題
(二)試求圖3電路的等效阻抗。(10分)
#490587
(一)試求圖4的等效電容為多少?(10分)
#490588
(二)如果將此電路接至一個24V的電源時,則跨於12μF電容器的電壓為多少?儲存於12μF電容器的電荷量又為多少?(15分)
#490589
(一)在圖5的電路,欲使RL得到最大功率時,其值應為多少及此一最大功率為多少?(10分)
#490590
(二)一個由200V電壓源以及5kΩ所構成的串聯電路,今若以內電阻為100Ω的安培計來測量此電流時,請問實際測量得到的電流為多少?此安培計所產生的負載效應為多少?若採用另一個內電阻為500Ω的安培計來測量此電流時,實際測量所產生的負載效應為多少?(15分)
#490591
一、Please translate the following paragraph into English.(15 分)國際海事組織將船舶交通服務定義為:「由主管當局實施的服務,旨在提高船舶交通安全和效率並保護環境。該服務應具有與交通互動的 能力,並對船舶交通服務區域內,發展中的交通情況作出反應」。典型的船舶交通服務系統,使用雷達、閉路電視、特高頻無線電話和自動識別系統,以跟踪船舶的移動,並在有限的地理水域內提供航行安全。訊息服務,是一種確保重要訊息可即時提供船上航行決策時使用的服務。交通組織服務,是一種旨在防止海上交通危險局勢發展,並在船舶交通服務區內,提供船舶交通安全且高效移動的服務。航行協助服務,是一種協助船上航行決策並監測其影響的服務。 (提示:有底線的文詞,請務必使用正確的專業英文詞。)
#490592
二、Please translate the following paragraph into Chinese.(10 分)Coast Guard Administration, Ocean Affairs Council. The principal purpose of the Coast Guard is the protection of the country, tasked by the government to effectively manage the waters surrounding the nation.On January 28, 2000, three major departments, in addition to smaller departments: the Coast Guard Command, Department of Defense; the National Police Agency Water Police Department; and the General Administration of Customs and Anti-Smuggling; were amalgamated to form one body. This new body formed the Ministerial-level Coast Guard Administration, dedicated to law enforcement on the coast and at sea, establishing a unified mechanism for enforcement.The Coast Guard is first committed to safeguarding national maritime rights and interests, including protecting the lives and property of citizens. The Coast Guard operates on the principles of enforcement in a lawful manner, remaining fair, appropriate, and thorough in all dealings. Vigorously working toward improvement of the nation’s shores, the administration has begun a new era of national coastal and Coast Guard advancement.
#490593
一、內政部就某警察特考三等考試錄取人員請求安排至警察大學接受訓練之請求,先函覆其除經免除教育訓練人員外,均在警察專科學校接受訓練等語。後來,內政部又另就該警察特考錄取人員申請之同一事件,重新審查,並再函文載明「查台端業已完成警察特考錄取人員訓練,其受訓權已獲滿足,自毋需再接受訓練。」等語。試問前、後函文的內容法律性質為何?並申論其理由。(25 分)
#490594
二、甲主張其所有之建物遭執行機關違法拆除,執行機關應負國家賠償責任,惟未提起行政救濟而逕提起國家賠償訴訟。反之,執行機關否認有何違法情事且主張甲就行政處分是否無效或違法,應先依行政爭訟程序確定之,以此置辯。試問:甲未先提起行政救濟,是否得選擇逕行向民事法院請求國家賠償?並申論其理由。(25 分)
#490595
(一)計算流經電阻元件的電流 i1 的值,與該電阻元件兩端的電壓差。 (15 分)
#490596
相關試卷
114年 - 114 國營臺灣鐵路股份有限公司花蓮機務段_從業人員甄試試題:基本電學概要#133332
114年 · #133332
114年 - 114 國營臺灣鐵路股份有限公司_從業人員司機員甄試_第 9 階-列車駕駛:基本電學#125457
114年 · #125457
113年 - 113-2 國營臺灣鐵路股份有限公司_從業人員甄試試題_第10階-助理技術員-機械、電機、第11階-服務員-電務、電力:基本電學概要#125612
113年 · #125612
113年 - 113 國營臺灣鐵路股份有限公司_從業人員甄試_第 11 階-服務員-電務、電力:基本電學概要#118987
113年 · #118987
113年 - 113 國營臺灣鐵路股份有限公司_從業人員甄試_第10階助理技術員-機械、電機:基本電學概要#118959
113年 · #118959
112年 - 112 鐵路特種考試_員級_機械工程:基本電學#114941
112年 · #114941
112年 - 112 鐵路特種考試_員級_電力工程、電子工程:基本電學#114937
112年 · #114937
111年 - 111 鐵路特種考試_員級_電力工程、電子工程:基本電學#108611
111年 · #108611
111年 - 111 鐵路特種考試_員級_機械工程:基本電學#108609
111年 · #108609
110年 - 110 鐵路特種考試_員級_機械工程、電力工程、電子工程:基本電學#101598
110年 · #101598