題組內容
三、考慮一個 8-ary 脈衝振幅調變(pulse amplitude modulation),若在一 個符號(symbol)時間為 T 的區間,接收訊號為 y(t ) =xp(t ) + n(t ) ,其中
是傳送符號振幅且有相同的傳送機率, p(t ) 代表時間長度為 T 且能量為 1 的傳送波形, n(t ) 代表白高斯 雜訊(white Gaussian noise)。
(三)若傳送
產生的符號錯誤機率為 h,請計算平均符號錯誤機率。 (10 分)
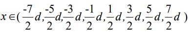
三、考慮一個 8-ary 脈衝振幅調變(pulse amplitude modulation),若在一 個符號(symbol)時間為 T 的區間,接收訊號為 y(t ) =xp(t ) + n(t ) ,其中
是傳送符號振幅且有相同的傳送機率, p(t ) 代表時間長度為 T 且能量為 1 的傳送波形, n(t ) 代表白高斯 雜訊(white Gaussian noise)。
(三)若傳送
產生的符號錯誤機率為 h,請計算平均符號錯誤機率。 (10 分)