題組內容
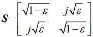
五、考慮下圖之 2 × 2信號傳輸耦合裝置,此裝置係以散射矩陣
來連結輸入信號強度矩陣
與輸出信號強度矩陣
;其間第 1 與第 2 輸入埠信號 各有(1-ε)的比率平行耦合到第 1 與第 2 輸出埠,也各有 ε 的比率交 叉耦合到第 2 與第 1 輸出埠:

(三)若輸入功率為
和
,而輸出功率為
和
,計算出此一傳輸耦合 裝置之穿透率(transmisivity)
,超額損耗(excess loss)
以及耦合比 ε = P2/(P1+P2)分別為多少?
五、考慮下圖之 2 × 2信號傳輸耦合裝置,此裝置係以散射矩陣
來連結輸入信號強度矩陣
與輸出信號強度矩陣
;其間第 1 與第 2 輸入埠信號 各有(1-ε)的比率平行耦合到第 1 與第 2 輸出埠,也各有 ε 的比率交 叉耦合到第 2 與第 1 輸出埠:

(三)若輸入功率為
和
,而輸出功率為
和
,計算出此一傳輸耦合 裝置之穿透率(transmisivity)
,超額損耗(excess loss)
以及耦合比 ε = P2/(P1+P2)分別為多少?