題組內容
四、下圖顯示一矩形斷面之簡支撐梁及其受力情況:
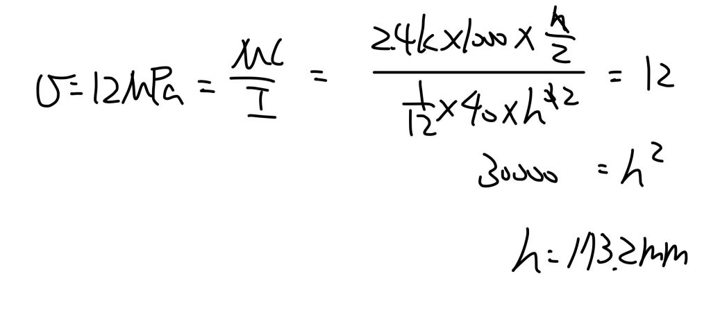
(二)如梁之最大容許正向應力為 12 MPa,則矩形斷面深度至少應為何? (10 分)
詳解 (共 1 筆)
詳解

四、下圖顯示一矩形斷面之簡支撐梁及其受力情況:
