阿摩線上測驗
登入
首頁
>
統計學
>
110年 - 110 身心障礙特種考試_四等_經建行政:統計學概要#98200
> 申論題
申論題
試卷:110年 - 110 身心障礙特種考試_四等_經建行政:統計學概要#98200
科目:統計學
年份:110年
排序:0
申論題資訊
試卷:
110年 - 110 身心障礙特種考試_四等_經建行政:統計學概要#98200
科目:
統計學
年份:
110年
排序:
0
題組內容
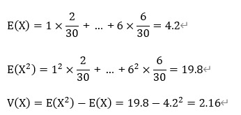
一、擲一個不公正骰子,奇數點(1, 3, 5)出現的機率與點數的兩倍成正比,偶數點(2, 4, 6)出現的機率與點數成正比。
申論題內容
(二)請算出此骰子點數的期望值與變異數。
詳解 (共 1 筆)
詳解
提供者:yui