題組內容
29. 一根棍子長度為 L 質量為 M 置於一無摩擦的平面上。一質量為 m 速度為 v 的球撞擊棍子的一端,如右圖
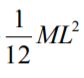
所示。假設該碰撞為彈性碰撞,並且碰撞後球仍然沿著原先的方向運動。該棍子對通過質心的垂直軸之轉
動慣量為
。
(1) 碰撞後球的速度為何?(3 分)
29. 一根棍子長度為 L 質量為 M 置於一無摩擦的平面上。一質量為 m 速度為 v 的球撞擊棍子的一端,如右圖
所示。假設該碰撞為彈性碰撞,並且碰撞後球仍然沿著原先的方向運動。該棍子對通過質心的垂直軸之轉
動慣量為
。
(1) 碰撞後球的速度為何?(3 分)