所屬科目:教甄◆物理科專業
1. 假設空間某一範圍內有一 x 軸方向的電場,電場 E 與所在位置的 x 座標有關,E(x)=-αx 其中α=100V/m2,x 的單位為 m。有一質點 質量為 3×10-4 kg、帶電 4×10-6 C,在 x=4m 處由靜止被釋放。若不考慮重力,則在此質點所能及的範圍內,其震盪的週期為 __________秒?
2. 地球上有一垂直向上發射之火箭,其質量為 3600 kg,每秒鐘能將 100 kg 的燃料燒為氣體,以 240 m/s 對火箭之相對速度噴出,則火箭於 開始發射後多久時間能離開地面而升起?(設重力加速度 g=10m/s2 )
3. 右圖為物體作平拋運動時在 x-y 平面的函數圖形,物體從 O 點拋出,x、y 分別代表其水平和鉛直位移,在物體運動 的過程中,經某一點 P(x, y)時,其速度方向的反向延長線交於 x 軸上的 A 點,則 OA 的長度為何?
4. 有質量 、大小與材質皆相同的 A、B 兩球,當 B 球從距地高 h 處自由落下的瞬間,A 球在 B 球正下方的地面上,同時開始作鉛直上拋運 動,兩球並在途中發生正向彈性碰撞,請問 A 球返回地面時的速度大小為何?
5. 有兩個質量皆為 m 的太空人,在太空中以一條長度為 d 的繩索相連結,相對於質心 CM,兩人皆以 v 的速率作等速圓周運動。繩索質量可 以忽略不計。如圖所示。若兩人施力拉繩索,使兩人接近到相距 ,且作圓周運動,則兩人施力作功總和為?
6. 有一呈弧面的固定滑梯,如圖所示,一小孩從頂端 A 點自靜止開始沿弧面自由滑下。若小孩和滑梯表面之間的動摩擦係數μ=0.5,則小 孩滑停處的坐標(x,y)中 y與x的關係為何?
7. 如圖所示,先將質量 M 為 1.5 kg 的金屬板置於光滑水平面上,再將質量 m 為 0.5 kg 的木塊置於金屬板上,金屬板與木塊之間的靜摩擦係 數為μs。今施一漸增的外力 F 沿水平方向拉動木塊 m,當木塊與金屬板間開始相對滑動時,F 恰為 4 N,設重力加速度 g=10 m∕s 2,則 μs 為何?
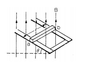
8. 角柱形銅條質量為 m,電阻為 R,長度為 ,水平放置在傾斜角度為θ 的兩平行軌條上如右圖所示,軌條相距為 ,光滑無摩擦力,有鉛 直向上之磁場作用於此區域,則此銅條滑下之最大速率為若干?
9. 下圖電路中,若在 X 和 Y 兩點間接上 14 伏特的電壓,則流經 a、b 間電阻的電流為多少安培(含方向)?
10. 以波長為 λ 的光照射某金屬表面,所放出電子的最大動能為 T 。若改用波長為 的光照射,則所放出電子的最大動能為 3T。試 問 T 為何?( h 為卜朗克常數,c 為光速。)
11. 一台自動裝置把製成的零件送到粗糙的傳輸帶上,零件為落到傳輸帶前速度為,當傳輸帶的速度,零件停在離傳輸帶邊 緣 處,為使零件準確地停在傳輸帶的中間,試問傳輸帶的速度 v 應調整為何?
12. 某行星質量為 M,半徑為 R,若在距離行星中心 10R 處有一物體正沿著與它和行星連線夾角 的方向運動,如圖所示,此物體速度 v 至少要多大才能避免物體落在行星上與行星發生碰撞?(引力常數為 G)
13. 金屬絲框架爲角α =300的直角三角形,將其固定在一鉛直平面內,如右圖所示,質量 m1=0.lkg 和 m2=0.3kg 的兩個物體用輕線相連,它 們可以沿著金屬絲無摩擦地滑動,求當兩物體在靜力平衡時,圖中 β 角的正切值。取 g=10m/s2
14. 質量為 m、半徑為 R 的圓柱體,以彈力常數 k 之彈簧一端連結圓柱中心,並可自由轉動,另一端繫於牆上。今使圓柱作來回振盪,且圓 柱與地面接觸面不滑動。試求圓柱來回運動的週期 T 為何?
15. 兩個橫截面不同但相連的密封圓桶容器,蓋上兩個活塞,各充有同一溫度的理想氣體。活塞以細桿緊緊連在一起,活塞與容器接觸表面 為光滑。兩活塞間為真空,處於平衡狀態,且活塞到容器底部之距離都相同。現在使兩邊的容器內氣體溫度各變為 ,使得活向 右移動了到容器底部距離的一半。試求兩容器內氣體溫度比 為何?
16. 如圖,三稜鏡置於空氣中。已知稜鏡的頂角Φ= 60° ,且其折射率為 1.6,試問能使射線自稜鏡左面進入,右面射出的最小入射角 sin θ 為 何?
19. 長爲 的導體固定在半徑爲 R 的不導電圓盤的弦上,圓盤以恒定角速度 ω 轉動,一均勻磁場垂直於盤面,磁場強度爲 B,如右圖所示,求 導體中點與一端之間的電位差?
20. 如圖,三個邊長為 a 的均勻帶電正方形板置於水平面上,在其交界處 O 點上方 h 處 P 點其電場強度為 E1 ,當拿走 A 板時 P 點電場變為 E2 , 當 B 板也拿走時 P 點電場變為若干?
21. 一質量為均勻分布的細圓環,其半徑為 r,質量為 m。今令此環均勻帶正電,總電量為 Q。現將此環平放在絕緣的光滑桌面上,並處於強 度為 B 的均勻磁場中。當此環通過其中心的垂直軸以均勻角速度 ω 沿圖示方向旋轉,試求環中的張力?
22. 如圖,一半徑為 R 的金屬球放置於半徑為 2R 的同心薄金屬空心球內。今將一根長導線經外球的極小開孔將小球接地,倘若外球殼帶電 +Q,達靜電平衡時,外球表面的電位為何?
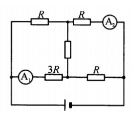
23. 在如圖所示線路中,安培計 A1 所示電流爲 10A,試求安培計 A2 所示的電流應是多少?假設兩安培計都是理想的(內部電阻趨近於零),圖 上標出的參數可認爲是已知的。
24. 在波耳氫原子模型中,基態氫原子吸收光譜之最長波長為 λ ,設卜朗克常數為 h,光速 c,電子質量 m,則基態氫原子中,電子繞原子核 運轉時,電子的物質波波長為何?
二、計算題(每題 5 分,5 題,共 25 分;此大題之說明或計算過程均列入計分) 26. 如附圖所示,A 和 B 緊靠於光滑水平面上,A 內側為一半徑 R 的光滑半圓軌道,於軌道右側頂部有一物體 C,將 C 由頂部自由滑下,當 C 在最低點時 A 和 B 分離。若 A、B、C 的質量皆為 m,重力加速度為 g,則 C 由頂點滑下後,可沿軌道上升的最大高度為? (5 分)
(c) 太空船環繞地球運行之週期變成多少?(1 分)
(1) 碰撞後球的速度為何?(3 分)