阿摩線上測驗
登入
首頁
>
高中指考◆數學甲
>
113年 - 113 大學入學考試中心_分科測驗:數學甲#123135
> 申論題
題組內容
三、選填題
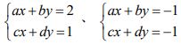
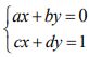
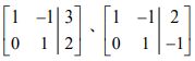
9. 設 a,b,c,d為實數。已知兩聯立方程組
的增廣矩陣經過相同的列運算後,分別得到
,則聯立方程組
的解為
(2)y=______
相關申論題
(1)x=______
#523849
10. 坐標平面上,設為以原點為圓心的圓,P為與x軸的其中一個交點。已知通過P點且斜率為的直線交於另一點Q,且=1,則的半徑為______(化為最簡根式)
#523851
11. 設實數ą1,ą2..,a9是公差為 2 的等差數列,其中a1≠ 0且a3> 0。若 log2 a3, log2 b, log2 a9 三數依序也成等差數列,其中 b為a4,a5,a6,a7,a8其中一數,則a9=______(化為最簡分數)
#523852
12. 已知三直線L1、L2、L3有共同交點,試求此共同交點P的坐標。
#523853
13. 試說明L1、L2、L3中,任兩直線所夾的銳角皆為60°。(非選擇題,4分)(註:令L1與L2所夾的銳角為a,L2與L3所夾的銳角為β,L3與L1所夾的銳角為γ)
#523854
14. 若坐標空間中第四個平面 E4與E1、E2、E3圍出一個邊長為的正四面體,試求出E4的方程式(寫成x+ay+bz = c的形式)。
#523855
16. 試說明 P(1,3)為「上之一點,並求在P點的切線L的方程式。
#523856
17. 承16,試求和L所圍成有界區域的面積。
#523857
17. 令 V 為 Γ 繞 x 軸旋轉所得旋轉體的體積。試問對所有, V是否都相等 ? 若相 等,則求其值;若不相等,則當 a 為多少時, V 有最 大值,並求此最大值。 ( 非選擇題 , 6 分 )
#553354
16. 證 明 對 於 所 有, Γ的面積皆為 2。 ( 非選擇題,2 分 )
#553353
相關試卷
114年 - 114 大學入學考試中心_分科測驗:數學甲#131150
114年 · #131150
113年 - 113 大學入學考試中心_分科測驗:數學甲#123135
113年 · #123135
112年 - 112 大學入學考試中心_分科測驗:數學甲#116235
112年 · #116235
111年 - 111 大學入學考試中心_分科測驗參考試卷:數學甲#114960
111年 · #114960
111年 - 111大學入學考試中心_分科測驗:數學甲#109162
111年 · #109162
110年 - 110 大學入學考試中心_指定科目考試:數學甲#100019
110年 · #100019
109年 - 109(補考) 大學入學考試中心_指定科目考試:數學甲#89685
109年 · #89685
109年 - 109 大學入學考試中心_指定科目考試:數學甲#87866
109年 · #87866
108年 - 108 大學入學考試中心_指定科目考試:數學甲#98892
108年 · #98892
107年 - 107 大學入學考試中心_指定科目考試:數學甲#98887
107年 · #98887