阿摩線上測驗
登入
首頁
>
高中(學測,指考)◆數學
>
111年 - 111 大學入學考試中心 學科能力測驗參考試卷:數學A#105757
> 申論題
題組內容
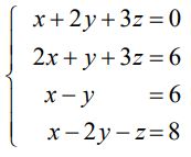
15. 線性方程組
經高斯消去法計算後,其增廣矩陣可化簡為
, 則
(3) c = ______
相關申論題
14. 一個滑板是由 1 個踏板、1 個輪架及 2 組相同品牌的滑輪組合而成,如圖。 某滑板店提供 3 種不同品牌的踏板、1 種輪架及 2 種不同品牌的滑輪,讓顧客自由選擇搭配,每一種零件的單價如下表: 今欲隨意組裝一個不超過 3000 元的滑板 ,則有 ______ 種不同的搭配方式。
#450091
(1)a = ______
#450092
(2) b = ______
#450093
(4)d = ______
#450095
16. 已 知銳角三角形 ABC 中, 。若 ∆ABC 的外接圓半徑為 , 則= ______ 。 (化為最簡根式 )
#450096
17. 有一新型「打地鼠」遊戲機,機台上有 25 個洞,分別標示整數坐標(格子點),如圖。 老闆將這 25 個格子點各作成一支籤,並放置於籤筒。每位遊戲者先從籤筒中同時抽出 兩支籤,並依照抽出籤所對應的洞各擊一槌,假設每支籤被抽中的機率相等。若所擊 的兩個洞的中點也是格子點,則僅有中點所在的洞冒出 100 元獎金,且遊戲結束;若 所擊的兩個洞的中點不是格子點,則機台上的 25 個洞皆會伸出《遊戲結束》的牌子, 表示這局結束。依上述規則,只玩一局可得 100 元獎金的機率為 ______ 。(化為最簡分數)
#450097
19. 若經銷商進貨 x 台儀器的成本費用為 (萬元),試求此經銷商預估 最多可獲利的金額是多少?(10 分)
#450098
20. 已知照片中乙星軌跡的起點 Q 坐標為 (2,8)。令 R 為其軌跡終點,試求以及點 R 的坐標。 (非選擇題,6 分)
#562010
19. 令 L 為通過點 (8,0) 且斜率為 1 的直線。試說明點 P 在 L 上,並求甲星軌跡所在的 圓方程式。(非選擇題,6 分)
#562009
17. 利用單點透視法將坐標空間的點繪製在畫布的坐標平面上。已知(一)空間中與 y 軸平行的直線,在畫布上的消失點為 (0,15)(二)空間中與 z 軸平行的直線,在畫布上都與 y 軸平行若點 (0,0,0) 、 (3,4,0) 、 (3,0,3) 繪在畫布上分別為 (0,0) 、 ( )、 (3,3) ,則點 (3,4,3)繪在畫布上的 y 坐標為。(化為最簡分數)(註:右圖為三點 (3,4,0) 、 (3,0,3) 、 (3,4,3) 於坐標空間的位置關係)
#562008
相關試卷
115年 - 115 財團法人大學入學考試中心基金會_學科能力測驗試題:數學B#137079
115年 · #137079
115年 - 115 財團法人大學入學考試中心基金會_學科能力測驗試題:數學A#137066
115年 · #137066
114年 - 114 財團法人大學入學考試中心基金會_學科能力測驗試題:數學B#125190
114年 · #125190
114年 - 114 財團法人大學入學考試中心基金會_學科能力測驗試題:數學A#125189
114年 · #125189
113年 - 113 北北基高級中等學校_學科能力測驗聯合模擬考試:數學#123743
113年 · #123743
113年 - 113 大學入學考試中心_學科能力測驗:數學A#118746
113年 · #118746
113年 - 113 大學入學考試中心_學科能力測驗:數學B#118743
113年 · #118743
112年 - 112 大學入學考試中心_學科能力測驗:數學A#113017
112年 · #113017
112年 - 112 大學入學考試中心_學科能力測驗:數學B#112994
112年 · #112994
111年 - 111 大學入學考試中心_學科能力測驗:數學B#105931
111年 · #105931