所屬科目:高中(學測,指考)◆數學
1. 滿足絕對值不等式 |2x-13|≤ 9 的所有實數 x 所形成的區間之長度為下列哪一個選項? (A) 8 (B) 9 (C) 10 (D) 13 (E) 18
2. 設 A(5,0,12) 、 B(−5,0,12) 為坐標空間中兩點,且 P 為 xy 平面上滿足 =13的點。試 問點 P 的坐標為下列哪一個選項? (A) (0,0,24) (B) (5,0,0) (C) (0,13,0) (D) (5,5,0) (E) (0,0,0)
3. 若第 1 天獲得 1 元、第 2 天獲得 2 元、第 3 天獲得 4 元、第 4 天獲得 8 元、依此每天所獲得的錢為前一天的兩倍,如此進行到第 30 天,試問這 30 天所獲得的錢之總數最接近下列哪一個選項? (A)104 元 (B)106 元 (C)108 元 (D)109 元 (E)元
4. 設 x與 y 的關係式為 ,且當 x = x1、x2 時,其對應的 y 值分別為 y1 、 y2 , 其中x1、x2 為正實數。若x2=2x1 ,則對於y1 、 y2的關係,試選出正確的選項。 (A)y2 = 2y1 (B) (C)y2 = 20✕logy1(D)y2 = y1 +log2(E)y2 = y1+20✕log2
5. 坐標空間中一質點自點 P(1,1,1) 沿著方向 = (1,2,2) 等速直線前進,經過 5 秒後剛好到達 平面 x-y+3z=28上,立即轉向並沿著方向=(-2,2,-1) 依同樣的速率等速直線前進。試問再經過幾秒此質點會剛好到達平面 x = 2 上? (A) 1 秒 (B) 2 秒 (C) 3 秒 (D) 4 秒 (E) 永遠不會到達
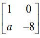
6. 考慮坐標平面上的直線 L :3x-2y=1 。若 a 為實數且二階方陣所代表的線性變換 可以將 L上的點變換到一條斜率為 2 的直線,則 a 的值為下列哪一個選項? (A) 6 (B) 8 (C) 10 (D) 12 (E) 14
7. 某實驗有 9 件血液樣本,將其混合成一組樣本作一次檢驗。假設每件血液樣本檢驗呈陽 性的機率都是 0.1,且只要有一件血液樣本呈陽性反應,其混合的樣本也會呈陽性反應。 當混合的樣本檢驗結果呈陰性反應時,只要一次檢驗即可,當混合的樣本檢驗結果呈陽 性反應時,就必須重新將這 9 件血液樣本逐一檢驗,此情況下總共需要 10 次檢驗。依 檢驗方式,這 9 件血液樣本檢驗次數之期望值為何? (A) 9×0.99 次 (B)次 (C) 9× (1−0.9)9 次 (D) 10−9×0.99次 (E) 10+9×0.99次
8. 已知 a、b 為正整數且 a 與 b 的乘積是11位數,而化成小數後的整數部分是 2 位數, 則 a 可能為幾位數? (A) 5 位數 (B) 6 位數 (C) 7 位數 (D) 8 位數 (E) 9 位數
9. 已知三次實係數多項式函數f(x)=2x3-6x2+10x+k的圖形之對稱中心為 (1,5),試選出正 確的選項。 (A) k =1 (B)若點 (r,s) 在 y =f(x) 的圖形上,則點 (r+2,s+10) 也在 y=f(x)的圖形上 (C)y=f(x)的圖形在 x =1附近的近似直線為 y=4(x-1)+5 (D)y=f(x)的圖形平移後可與y =2x3+4x+5的圖形重合 (E)y=f(x)的圖形與y =2x3+4x+5的圖形有交點
10. 所謂某個年齡範圍的失業率,是指該年齡範圍的失業人數與勞動力人數之比,以百分率表達(進行統計分析時,所有年齡以整數表示)。下表為去年某國三個年齡範圍的失業率。根據上表,試選出正確的選項。 (A) 上表三個年齡範圍中,以 40~44 歲的失業率最高 (B) 40~44 歲勞動力人數多於 45~49 歲勞動力人數 (C) 40~49 歲的失業率等於 (D) 如果 40~44 歲的失業率降低,則 45~49 歲的失業率會升高 (E) 若經統計得 35~44 歲的失業率為 12.66%,則 35~39 歲勞動力人數少於 40~44 歲勞動力人數
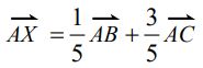
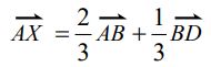
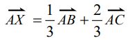
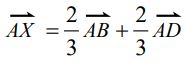
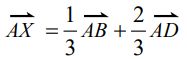
11. 在平面上,已知 ABCD 是一平行四邊形,且點 X 在 ∆BCD 的內部(不含邊界)。下列選項中,試選出 可能的關係式。 (A) (B) (C) (D) (E)
12. 設函數,其中 x 為任意實數,試選出正確的選項。(A)(B) f(x)的最小値為 (C)f(x)的最大値為 2 (D)f(x)的週期為 π (E) y =f(x) 的圖形經過平移後可與 y = cosx 的圖形重合
18. 設多項式函數 f(x)=C(x)-(18-4g(x))。試選出正確的選項。(多選題,5 分) (A) f (x) 為三次多項式函數 (B) f (1) = 0 (C) x2-5x+6 是 f (x) 的因式 (D) f (0) f(4)<0 (E)
14. 一個滑板是由 1 個踏板、1 個輪架及 2 組相同品牌的滑輪組合而成,如圖。 某滑板店提供 3 種不同品牌的踏板、1 種輪架及 2 種不同品牌的滑輪,讓顧客自由選擇搭配,每一種零件的單價如下表: 今欲隨意組裝一個不超過 3000 元的滑板 ,則有 ______ 種不同的搭配方式。
16. 已 知銳角三角形 ABC 中, 。若 ∆ABC 的外接圓半徑為 , 則= ______ 。 (化為最簡根式 )
17. 有一新型「打地鼠」遊戲機,機台上有 25 個洞,分別標示整數坐標(格子點),如圖。 老闆將這 25 個格子點各作成一支籤,並放置於籤筒。每位遊戲者先從籤筒中同時抽出 兩支籤,並依照抽出籤所對應的洞各擊一槌,假設每支籤被抽中的機率相等。若所擊 的兩個洞的中點也是格子點,則僅有中點所在的洞冒出 100 元獎金,且遊戲結束;若 所擊的兩個洞的中點不是格子點,則機台上的 25 個洞皆會伸出《遊戲結束》的牌子, 表示這局結束。依上述規則,只玩一局可得 100 元獎金的機率為 ______ 。(化為最簡分數)