阿摩線上測驗
登入
首頁
>
通信系統
>
104年 - 104年司法人員、104年法務部調查局調查人員、104年國家安全局國家安全情報人員、104年海岸巡防人員、104年移民行政人員考調查三等_電子科學組#33743
> 申論題
題組內容
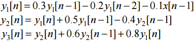
一、考慮由下列差分方程式(Difference equation)所表示的數位系統:
其中,x[n]為輸入訊號而 y[n] = y
3
[n] 則是輸出訊號。(每小題 10 分,共 20 分)
⑴依上述差分方程式,試畫出輸入訊號 x[n]與輸出訊號 y[n]之系統方塊圖,含 y
1
[n] n 與y
2
[n]之相關性。
相關申論題
⑵依上述結果求 y[n]的 z-轉換,假設x[n]的 z‐轉換為 X(z)。
#83878
⑴請用等效基頻(Equivalent baseband)複數訊號來表示s(t)。
#83879
⑵若m(t)為所欲傳送之訊號且以類比調幅(AM)之單邊帶(Single side band, SSB) 方式調變,則s I (t)及s Q(t) 與m(t)之對應關係為何?
#83880
⑴試求si (t) 的能量及ni(t) 的功率。(15 分)
#83881
⑵求y(t)=s0(t)+n0(t) 中對應於si(t) 與ni(t)成分(即 s0(t)與n0(t))的能量與功率值。 (10 分)
#83882
⑴試說明及求其對應的匹配濾波器(Matched filter)或解調器,h(t)為何?
#83884
⑵如果 r0(t)=x0(t)+n0(t) 為匹配濾波器的輸出訊號,求 t = t0 時, x0(t0)的值
#83885
(二)請詳述如何還原訊號 x(t ) ,並說明可以完美還原訊號的理由。
#560728
(一)請繪製取樣後之頻譜,並說明取樣間隔詳須滿足什麼條件,方能完 美地還原訊號 x(t ) 。
#560727
四、行動通訊系統中,基地台和行動裝置之間的雙工(duplex)機制有分時雙 工(Time-Division Duplex, TDD)和分頻雙工(Frequency-Division Duplex, FDD),請說明什麼是雙工,並詳述兩種機制如何運作。
#560726
相關試卷
114年 - 114 地方政府公務特種考試_四等_電信工程:通信系統概要#134755
114年 · #134755
114年 - 114 地方政府公務特種考試_三等_電信工程:通信與系統#134723
114年 · #134723
114年 - 114 公務升官等考試_薦任_電信工程:通信與系統#133270
114年 · #133270
114年 - 114 調查特種考試_三等_電子科學組:通信與系統#129592
114年 · #129592
114年 - 114 高等考試_三級_電信工程:通信與系統#128757
114年 · #128757
114年 - 114 普通考試_電信工程:通信系統概要#128733
114年 · #128733
113年 - 113 地方政府公務特種考試_四等_電信工程:通信系統概要#124540
113年 · #124540
113年 - 113 調查特種考試_三等_電子科學組:通信與系統#122111
113年 · #122111
113年 - 113 普通考試_電信工程:通信系統概要#121514
113年 · #121514
113年 - 113 高等考試_三級_電信工程:通信與系統#121501
113年 · #121501